Transfer analytické metody

HPLC.cz: Transfer analytické metody
Definice
Přenos (transfer) validované analytické metody je jedním z posledních kroků validačního cyklu metody z předávající do přijímací laboratoře. Transfer metody je v průmyslu součást technologického transferu výroby do jiného výrobního podninku. V současné době je transfer analytické metody plně integrován do životního cyklu analytické metody, zejména ve farmaceutickém průmyslu. (1), (2), (3)
Pro transfer metod existují směrnice státních autorit, bohužel pouze v obecném rovině a neupravují přesná akceptační kriteria a podmínky. (4)
Postup. Akceptační kriteria - Statistika
Transfer analyické metody zahrnuje několik kroků, které je možné vyjádřit v následujícím grafu:
HPLC.cz: Postup a jednotlivé kroky při transferu analytické metody
Při transferu metody pak stojíme před rozhodnutím jaké parametry metody při transferu sledovat a jak výsledky statisticky hodnotit. U statistického hodnocení se může jednat o:
- a. Statistické testy významnosti
- b. Statistické testy rovnocennosti
- c. Statistické testy rozdílnosti
Nejčastěji jsou tzv. přístupy používajícího „jednoduchého srovnání“. Jsou definovány akceptační kritéria pro:
- a. Opakovatelnost
- b. Celkovou opakovatelnost
- c. Rozdíl mezi průměry obou laboratoří
- d. Rozdíl mezi celkovým průměrem a jednotlivými průměry
a dále pro linearitu metody. Předávající laboratoř musí nastavit systém suitability analytické metody, který musí přijímací laboratoř splnit.
Ukážeme si příklad pro jednoduché statistické porovnání ve farmaceutickém průmyslu pro stanovení obsahu. Při jednoduchém porovnání pak musí plati podmínka, že chyba procesu musí být srovnatelná s chybou metody (variabilitou analytickém procesu smax):
HPLC.cz: Srovnání chyby procesu s chybou metody
kde u může být odhadnut pro různé typy procesů. Například pro aktivní farmaceutické substance, kde je pouze množství nečistot je proces variability zanedbatelný a pak u = 0, pro lékovou formu je proces variability přibližně stejný jako pro analytickou variabilitu a pak u = 1.
Dále se stanoví maximální směrodatná odchylka metody, která je daná horním (SLupper) a dolním limitem (SLlower) obsahu:
HPLC.cz: Stanovení maximální směrodatné odchylky metody
Pro jednotlivé parametry metody se vypočítají faktory, které závisí na počtu opakování a hladině významnosti. Tímto faktorem se pak násobí maximální povolená analytická variabilita smax čímž dostaneme hodnoty akceptačních kritérií. Pak dostaneme následující tabulku:
HPLC.cz: Akceptační kritérií
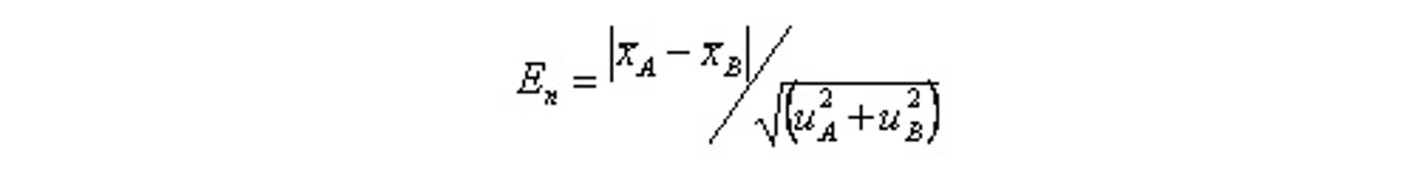
Další možností statistického hodnocení metody je na základě nejistot měření a tzv. En čísla (skóre). Uvedeme si malý příklad. Na základě tohoto hodnocení se porovnávají průměrné hodnoty předávající (A) a přijímací laboratoře (B), přičemž k těmto průměrům musí být přiřazena nejistoty měření (uA) a (uB). Pak platí:
HPLC.cz: Výpočet En čísla (skóre)
Pokud získáme výsledky uvedené v tabulce níže, můžeme učinit závěr, že laboratoře poskytují srovnatelné výsledky:
HPLC.cz: Výsledky srovnání
Přehled metodiky pro transfer analytických metod publikoval E. Rozet et.al. (5)
- Galiay M.: STP Pharma Practiques 12, 258 (2002)
- Sixsmith D.: Pharm. Technol. Eur. 50 (1999)
- Scypinski S., Roberts D., Oates M., Etse J.: Pharm. Technol. (March) 84 (2002)
- ICH Q2(R1), Validation of Analytical Procedures; Step 4 version, 2005
- E.Rozeta, W.Dewé, E.Ziemons, A.Bouklouze, B.Boulanger, Ph.Hubert: J. Chrom. B, 877, 2214 (2009)




