Bílé prášky tak trochu jinak

HZS: Bílé prášky tak trochu jinak
Následující článek vznikl na základě praktických poznatků ze zásahové činnosti pracoviště Laboratoř Tišnov, na základě literárních rešerší a řízených diskuzí s odbornými pracovníky z oblastí výbušnin, drog a radioaktivních látek. Definuje vybrané nebezpečné látky a popisuje rizika spojená se zásahy, u kterých se vyskytují bílé prášky. Tyto zásahy jsou často z hlediska velitele zásahu, případně zasahujících příslušníků podceňována. To je kvůli převažující zásahové činnosti na takzvané „fake powder“, kdy v drtivé většině se jedná o nálezy mouky, cukru či jiné běžné látky vyskytující se v domácnosti.
ÚVOD
Příslušníci pracoviště Laboratoř Tišnov (dále jen CHL) se setkávají s řadou nebezpečných látek. Během své zásahové činnosti se však již setkali s látkami, které svými nebezpečnými vlastnostmi výrazně vyčnívali z řady nebezpečných látek a spadali do kategorie zásahů takzvaných „bílých prášků“. Cílem příspěvku, je rozšířit povědomí odborné veřejnosti o níže uvedených bílých prášcích, se kterými se složky Integrovaného záchranného systému (dále jen IZS) mohou při výkonu své každodenní činnosti setkat. Jedná se o látky radioaktivní - thorium, výbušné - triaceton triperoxid (dále jen TATP) a vysoce toxické - fentanyl.
TRIACETON TRIPEROXID (TATP)
V posledních letech se v různých evropských zemích objevily případy sebevražedných útoků na nevinné civilisty. Byly to například nedávné teroristické útoky v Paříži, z listopadu roku 2015, které si sumárně vyžádaly 129 obětí a 415 zraněných (1). Dalším případem jsou útoky z roku 2016 na bruselské mezinárodní letiště Zaventem a bruselské metro (stanice Maelbeek). I při těchto útocích bylo zabito několik desítek lidí (2, 3). O rok později se na centrálním bruselském vlakovém nádraží pokoušel útočník odpálit výbušninu, která naštěstí selhala. Tento případ neměl na svědomí žádné oběti (4). O několik měsíců později se odehrál podobný incident ve vlakové stanici Parsons Green. Zde došlo k výbuchu 400 g třaskaviny ukryté v termotašce v jednom vozu vlakové soupravy. Při tomto incidentu bylo zraněno 29 lidí, nacházejících se v inkriminovaném vagonu (5). Pojítko, které spojuje všechny tyto bombové útoky souvisí s organickými peroxidy, respektive s jedním – triaceton triperoxidem (dále jen TATP).
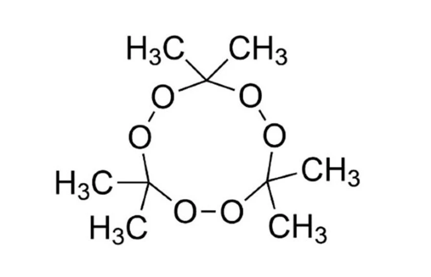
HZS: Obrázek 1: Molekulová struktura TATP (6)
Triaceton triperoxid, nebo-li 3,3,6,6,9,9-hexamethyl-1,2,4,5,7,8-hexaxonan (CAS: 17088-37-8) je chemická látka a primární výbušnina. Označení primární výbušnina má díky své schopnosti snadné detonace (7, 8). TATP je sněhově bílá krystalická látka nerozpustná ve vodě, která je extrémně citlivá na tření, náraz, statickou elektřinu nebo teplo (9). Díky těmto vlastnostem dostal tento organický peroxid nelichotivé označení „mother of Satan“, nebo-li matka Satana (10). Tato látka, na rozdíl od ostatních komerčně dostupných výbušnin, neobsahuje ve své struktuře dusík (viz obrázek 1), který převádí velkou část své energie na teplo při exotermické reakci. Výbušniny na bázi organických peroxidů se vyznačují tzv. entropickou explozí, u niž dojde takřka k okamžitému rozkladu každé molekuly TATP, která se nachází v pevném stavu na čtyři molekuly v plynné fáze – tři molekuly acetonu a jedna molekula ozonu (viz obrázek 2). Dochází tak ke vzniku obrovského tlaku vznikajících molekul plynů, což má v praxi za následek vytvoření velké devastační síly. Účinky výbuchu bývají charakterizovány na základě porovnaní s účinky standardních výbušnin. Nejčastější se pro porovnání účinku výbušniny používá 2,4,6-trinitrotoluen (dále jen TNT) (11). Odborná literatura uvádí, že TATP dosahuje přibližně 80 % síly TNT (10, 12).
HZS: Obrázek 2: Schéma entropické exploze TATP (12)
Triaceton triperoxid je pravděpodobně jedna z nejrozšířenějších podomácku vyrobitelných výbušnin, a proto je velmi oblíbená nejen u „hobby chemiků“, ale i teroristů (13). Syntéza této výbušniny je poměrně jednoduchá. Potřebné suroviny jsou lehce dostupné a návody můžete nalézt na internetu. Jak už napovídá samotný název látky triaceton triperoxid, je pro přípravu této výbušniny zapotřebí aceton a peroxid vodíku. Jejich vzájemná reakce probíhá rychleji v kyselém prostředí, a proto se při výrobě TATP používají jako katalyzátory reakce různé kyseliny. Právě výběr použité kyseliny velmi ovlivňuje vlastnosti vyrobeného organického peroxidu (14). Internetové zdroje nejčastěji doporučují kyselinu sírovou, která ovšem v praxi není příliš vhodná. Bylo zjištěno, že tepelná stabilita TATP připraveného za pomoci kyseliny sírové nebo chloristé je nižší, než tomu je v případě kyseliny chlorovodíkové nebo dusičné. Odborná literatura uvádí, že při použití kyseliny sírové a chloristé má velký vliv na tepelnou stabilitu TATP i samotná koncentrace použité kyseliny. V tomto případě autoři uvádí, že čím koncentrovanější kyselina je, tím méně stabilní TATP vzniká. Zatím co v případě kyseliny dusičné a chlorovodíkové dochází k rozkladu při teplotě nad 145 °C, u již zmiňovaných kyselin – sírové a chloristé - se tato teplota pohybuje v závislosti na koncentraci použité kyseliny v rozmezí od 50 °C do 145 °C. Takto široký rozsah teplot je přisuzován rozdílnému množství přítomné zbytkové kyseliny v krystalech (15). Výše uvedené tvrzení je podpořené záznamem z difrakční termické analýzy (DTA) vzorků TATP připravených z různých kyselin (viz obrázek 3). Tímto způsobem připravené TATP může představovat riziko především při sušení (např.: na topení nebo v teplých letních dnech), kdy může dojít k samovolnému rozkladu a tím i k neočekávanému výbuchu (7).
HZS: Obrázek 3: Záznam z DTA TATP (7)
Příslušníci CHL se s organickými peroxidy setkali v roce 2019 při zásahu v Brně-Židenicích na ulici Šámalova. Zde byla laboratoř povolána k nálezu velkého množství chemických látek v bytě, ve kterém byla nalezena osoba bez známek života. Dle informací měl být zesnulý muž v minulosti odsouzen za výrobu trhavin (16). Zásah probíhal společně s pyrotechnickou službou Policie České republiky a v jeho průběhu došlo dvakrát k evakuaci okolních objektů, kdy bylo dohromady evakuováno přes 80 osob (17). Na místě kromě velkého množství chemikálií bylo nalezeno asi půl kilogramu kyseliny pikrové a téměř šesti kilový pytel s bílou krystalickou látkou. Tato látka byla na místě identifikována s největší pravděpodobností jako směs organického peroxidu s dusičnanem. Nalezené látky by stačily na zničení inkriminovaného třípodlažního domu i s jeho okolím (18). Zajištěné výbušniny byly zlikvidovány ve dvou řízených odstřelech za městem Brnem.
FENTANYL
Ještě před 15 lety to byla látka mezi veřejností téměř neznámá, dnes je o ní napsáno mnoho odborných článků a v povědomí široké veřejnosti je známá jako zabiják narkomanů. Její chemický název je N-(1-(2-fenylethyl)-4-piperidinyl)-N-fenylpropanamid tedy fentanyl (obrázek 4). Díky jeho dlouholeté regulaci se kromě fentanylu stále častěji objevují nové deriváty fentanylu takzvané „The Fentalogs“.
HZS: Obrázek 4: Molekulová struktura fentanylu (19)
Fentanyl (CAS: 437-38-7) byl vyvinut v 50. letech 20. století belgickou firmou Janssen a asi o 10 let později byl již používán v medicíně. Je to látka, která má podobné vlastnosti jako morfin, ale má však větší analgetický účinek (asi 100x, působí však krátkodoběji). Patří do skupiny uměle syntetizovaných opioidů (20). Vzhledově se jedná o bílý krystalický prášek hořké chuti bez zápachu, s molekulovou hmotností 336,47 g/mol, bodem tání mezi 83 a 84 °C. Je snadno rozpustný v etanolu případně metanolu a prakticky nerozpustný ve vodě (21). Nejnižší toxická dávka (TDLo) při které dojde k celkovému útlumu, při intravenózní aplikaci u člověka je 2 g/kg a při orální aplikaci 100 ug/kg (22). Literární údaje tak jednoznačně prokazují, že se svou toxicitou vyrovná některým bojovým chemickým látkám (dále jen BCHL) viz tabulka 1. Zjednodušeně lze říci, že v případě fentanylu je smrtelná dávka pár zrníček a v případě toxičtějšího derivátu - carfentanylu je to jedno zrníčko velikosti zrnka máku.
Tabulka 1: Srovnání toxicity opiátů s BCHL sarinem
LÁTKA / SMRTELNÁ DÁVKA V MG / ZDROJ
- MORFIN / 120 / (23)
- HEROIN / 30 / (24)
- SARIN 0,8 – 8 / (25)
- FENTANYL / 0,25 – 2 / (26)
- CARFENTANYL / 0,02 / (27)
V USA a rovněž i v Evropě je posledních 7 let sledován strmý nárůst zneužití fentanylu a fentalogs. Tento problém přerostl v USA v celospolečenský problém, a proto se v USA začalo hovořit o tzv. „fentanylové epidemii“. Tyto látky jsou zde hojně zneužívány drogovou scénou. Díky svým násobným opioidním účinkům jsou výhodnější než běžný heroin. Lze ho na rozdíl od heroinu více ředit, což znamená vyšší zisk a silnější výsledný produkt. Řada obchodníků s heroinem v poslední době preferuje právě proto fentanyl, neboť z jednoho kilogramu čistého fentanylu je možné ředěním získat cca 10 kg látky připravené k distribuci, která si stále zachovává vysokou kvalitu (28).
Fentalogs jsou nejčastěji dopravovány do Evropy prostřednictvím expresních poštovních a kurýrních služeb, následně jsou prodávány přes ilegální komerční webové stránky (Darknet) nebo prostřednictvím již existující sítě jako „legální“ náhrada nelegálních opioidů. Nelegální laboratoře na výrobu fentanylů se v evropských státech objevují již od roku 2004 (Rakousko, Německo, Slovensko, Portugalsko). Na Slovensku je dokonce fentanyl drogou číslo 4. Od roku 2010 jsou zde evidovány časté záchyty. V roce 2011 tu byla odhalena jedna laboratoř produkující fentanyl. V Estonsku je fentanyl doménou ruskojazyčných skupin. Heroin je zde na ústupu a je nahrazován fentanylem, který je zodpovědný za značný nárůst úmrtí. Od roku 2016 je to více jak 80 osob (29). Ve Švédsku je ročně evidováno cca 250 až 300 úmrtí ve spojitosti s fentalogs. Od roku 2014 se objevuje nové podání této látky v podobě nosního spreje obsahující fentanyl případně butyrfentanyl (30). V České republice jsou fentanyl a některé jeho deriváty uvedeny na seznamu návykových látek, dle Nařízení vlády č. 463/2013 Sb., díky čemuž se považují za nelegální látky. V ČR bylo evidováno zatím menší množství případů předávkování opiáty, z toho pouze jednou fentanylem, který se převážně získává z náplastí a jiných farmaceutických produktů obsahující fentanyl (29). Nicméně Celní správa České republiky již eviduje značný nárůst záchytů v mezinárodních poštovních zásilkách z Číny. Neoficiální zdroje mluví o více jak 0,5 kg fentalogs, které byly zachyceny v mezinárodní poště v posledních dvou letech. Pokud k tomu přičteme, že odhadovaná pravděpodobnost záchytu se pohybuje v jednotkách procent, mohly být do ČR nelegálně přivezeny kilogramy této vysoce toxické látky.
HZS: Smrtelná dávka opiátů (31)
Příslušníci IZS se mohou s fentalogs setkat při svém každodenním plnění služebních úkolů. Příslušníci Policie ČR a Celní správy například při zadržení osob s podezřením na distribuci omamných a psychotropních látek (dále jen OPL), při realizacích v prostorách výroby a distribuce OPL, ale také při běžných silničních kontrolách. Velké riziko pro tyto příslušníky je to, že často nemají vhodné osobní ochranné a detekční prostředky, kterým by mohly riziko vysoce toxické látky snížit nebo odhalit. Stejnému riziku jsou vystaveni i lékaři a posádky Zdravotnické záchranné služby, kteří poskytují neodkladnou péči pacientům s intoxikací OPL. V neposlední řadě příslušníci Hasičského záchranného sboru, kteří často zasahují v bytových či jiných prostorách s výskytem podezřelých prášků a chemikálií, asistují PČR při realizacích v prostorách výroby a distribuce OPL, a v neposlední řadě na poštovních úřadech při únicích neznámých podezřelých látek z poštovních zásilek. Hasiči, na rozdíl od svých kolegů ze záchranné služby a policie, jsou velmi dobře vybaveni osobními ochrannými prostředky, které velmi efektivně zachytí intoxikaci fentanylem a jeho deriváty. Nicméně často tyto ochranné prostředky nejsou dostatečně používány, jelikož je situace z pohledu samotných příslušníků či velitele zásahu podceňována.
Fentalogs jsou za běžných podmínek nejčastěji ve formě prášku, který v případě uzavřené nádoby nepředstavuje závažné riziko. Nicméně pokud dojde k rozptylu tohoto prášku do ovzduší ve formě aerosolu, představuje vysoké riziko pro osoby bez ochrany dýchacích cest a prachotěsných ochranných obleků. Literatura popisuje, že se u příslušníků policie projevily příznaky expozice opiáty až poté, co svou činností vytvořily fentanylový aerosol. Při činnosti výše uvedených složek je třeba věnovat zvláštní pozornost eliminaci jakéhokoli vdechnutí a dermálního kontaktu s fentanylem případně jeho deriváty (32).
THORIUM
Thorium je radioaktivní prvek bez stabilních izotopů vyskytující se v zemské kůře, nejčastěji jako radioizotop ²³²Th s poločasem rozpadu 1,41 · 10¹⁰ roku. Zastoupení tohoto izotopu v zemské kůře je při průměrné aktivitě 0,052 Bq·g⁻¹ (33) což přibližně představuje 8 ppm (34). Další izotopy thoria se objevují i v dalších přírodních rozpadových řadách. Pouze 6 izotopů z 26 se vyskytuje v přírodě, z toho je téměř ze 100 % zastoupeno ²³²Th. Na území ČR se nenacházejí žádné ověřené zásoby thoria. V roce 2010 byly dovezeny 4 kg kovového thoria za dovozní cenu 3 250 Kč/kg (34). Thorium tvoří téměř výhradně kationty Th⁴⁺. Vodou nerozpustné sloučeniny se nacházejí ve formě bílých krystalických struktur, vodou rozpustné jsou z pravidla bezbarvé (35).
Obecně je toxicita thoria a jeho sloučenin spojená s jeho radioaktivitou. V případě přímého kontaktu bylo při krátkodobé expozici pozorováno podráždění kůže, očí a dýchacího traktu. V případě podání větších dávek byly pozorovány poruchy krvetvorby, postižení nervového a rozvrat imunitního systému, případně funkční a tvarové změny na plicním epitelu (36).
Od 40 let minulého století se uvažuje o využívání thoria v jaderném průmyslu pro přípravu ²³³U. Energetický výtěžek přichází následným štěpení ²³³U (viz rovnice 1). Z důvodu možného zneužití vojenskými nebo teroristickými organizacemi, jsou sloučeniny thoria sledovány Odborem pro kontrolu nešíření zbraní hromadného ničení Státního úřadu pro jadernou bezpečnost. Thorium se využívá při legování kovů, jeho přítomnost zvyšuje odolnost slitin k vysokým teplotám (37).
HZS: Rovnice 1: příprava ²³³U z ²³²Th.
Dusičnan thoričitý (CAS: 13823-29-5) je bílá krystalická látka s mírně toxickými vlastnostmi. Uvádí se její nehořlavost, ale některé zdroje připouštějí možnost exploze, a to v případě vhodné iniciace. Například pokud je ve velkém množství nebo pokud je ve formě jemného prachu (38).
Oxid thoričitý (CAS: 1314-20-1) je také bílá krystalická látka s potvrzenou karcinogenitou, rozpustná v kyselině sírové, nerozpustná ve vodě, tající při 3 390 °C (39). Oxidy thoria zlepšují optické vlastnosti křemíkového skla, využívá se tedy k výrobě optických elementů objektivů fotoaparátů (Asahi Pentax Super-Takumar f/1.4 50 mm) (37).
Thorium se dá s úspěchem využít i jako katalyzátoru pro různé organické syntézy (40). Například pro krakování uhlovodíků. I nález CHL je z největší pravděpodobnosti z této oblasti. Při nálezu byla část oxidu thoričitého používána, nebo minimálně jednou použita. Někteří odborníci zabývající se drogovou problematikou připouští možnost použití sloučenin thoria jako katalyzátoru při syntéze drog (amfetaminů).
HZS: Obrázek 6 a 7: Molekulová struktura dusičnanu thoričitého (41) a oxidu thoričitého
V polovině roku 2016 příslušníci Policie ČR požádali o součinnost pracoviště Laboratoř Tišnov pro posouzení nebezpečnosti a identifikaci neznámých nebezpečných chemických látek nalézajících se v rodinném domě v jedné z obcí v Jihomoravském kraji. Jednotka výjezdové skupiny pracoviště Laboratoř na místě nalezla velké množství různých chemických látek nacházejících se ve sklepních prostorách rodinného domu, ale také v garáži, kde byl z části vybudován sklad chemických látek a z části postavena laboratoř s digestořemi a aparaturami. Dále pak byl v půdním prostoru garáže, přístupném pouze po žebříku, nalezeno větší množství různých chemických a radioaktivních látek. Celkem bylo nalezeno 770 g dusičnanu thoričitého a cca 200 g oxidu thoričitého. Vzhledem k situaci na místě zásahu hejtman Jihomoravského kraje svolal mimořádné zasedání Bezpečnostní rady, na kterém bylo rozhodnuto vyhlásit na 15 dní krizový stav - stav nebezpečí. V objektu bylo zajištěno a zlikvidováno cca 2,5 kg radioaktivních látek a cca 10,5 t nebezpečných chemických látek dále pak cca 10,5 t směsného odpadu a cca 5 t železného šrotu (42, 43, 44).
HZS: Obrázek 8: Radioaktivní materiál
ZÁVĚR
Výše uvedené skutečnosti odrážejí dlouholetou praxi ze zásahové činnosti pracoviště Laboratoř Tišnov. Zkušenosti získané z odborných diskuzí s příslušníky Pyrotechnické služby PČR, Národní protidrogové centrály, Národní centrály proti organizovanému zločinu SKPV a pracovníky Celně technických laboratoří, se kterými se příslušníci pracoviště Laboratoř setkávají u zásahů nebo v rámci výcviků, či odborných příprav.
Zkušenosti CHL Tišnov zároveň potvrzují velmi častou tendenci neadekvátně reagovat, a to jak podceněním, či případně rozsáhlou odezvou čítající desítky zasahujících. Vždy je zapotřebí k daným nálezům přistupovat s respektem, ale i střízlivým okem posuzovat situaci v souvislosti s podezřelým, či poškozeným. Místními podmínkami zjištěných od již přítomných příslušníků IZS a svědků. Neméně důležité je i provedení důkladného průzkumu místa zásahu.
Článek si klade za cíl poukázat na možná rizika objevující se v zásahové praxi HZS. A upozorňuje na rizika vyplívající s podcenění situace, kdy se z „mouky“ může vyklubat vysoce toxická, výbušná či radioaktivní látka. I z tohoto důvodu je zapotřebí provádět pravidelné odborné přípravy jednotek IZS se zaměřením na tuto problematiku, aby došlo k rozšíření povědomí i o těchto látkách a tím se zvýšila bezpečnost zasahujících příslušníků u tohoto druhu mimořádné události. Zároveň si autoři uvědomují, že pokud se v místě nálezu bílého prášku nalezne prázdný pytlík od mouky, bude to s největší pravděpodobností mouka.




