Mezníky AI: Od Turingova stroje k ChatGPT

- Foto: MATFYZ UK: Mezníky AI: Od Turingova stroje k ChatGPT
- Video: LLionTV: Petr Koubský: Umělá inteligence: příslib i hrozba (MFF-PMF 18.1.2024)
Umělá inteligence (AI) rezonuje v posledních letech veřejnými i soukromými debatami a dá se očekávat, že v budoucnu se s ní budeme setkávat čím dál častěji také v běžné praxi. Jak se zrodil fenomén, který do společnosti přináší nové možnosti, ale také hrozby?
Mnozí si pamatují, jak se v minulosti staly oblíbenými třeba kondiciogramy (ty už byly spojeny s nástupem výpočetní techniky), později mikroprocesory, mikropočítače, internet, mobily, chytré mobily, internetové vyhledávače či chytré hodinky. Vždy se jednalo o nové technické řešení, ke kterému se starší generace stavěla rezervovaně, zatímco ta mladá ho do značné míry vítala. S technologiemi je to jako se vším: když se něčeho nabažíte, chcete jít dál. Prostě člověk je veskrze pohodlný tvor a chtěl si vždy usnadnit svoji práci (vynález kola) či sdílení informací a zkušeností (třeba Google). A nyní je na řadě umělá inteligence.
Existuje několik definic, avšak technicky vzato je umělá inteligence (angl. Artificial Intelligence, zkr. AI) projevem poměrně složitého výpočetního systému, tedy programového řešení, které simuluje lidské myšlení a případně i chování nebo řešení problémů. S rostoucím výkonem počítače, na kterém je programové řešení umělé inteligence spuštěno, stoupají možnosti projevu a rychlost odezvy.
MATFYZ UK: Obrázek: Matematik Alan Turing kolem roku 1927
Významnou osobností v rozvoji výpočetní techniky se stal již v 30. letech britský matematik Alan Mathison Turing (1912 – 1954). Ten jako první rozpracoval teorii obecných výpočetních předpisů, označovaných jako algoritmy. Jeho teorie později vedla k důkazu, že pokud lze libovolný problém algoritmizovat, je možné ho pomocí algoritmů také vyřešit. V roce 1936 položil Turing základy umělé inteligence vytvořením teorie abstraktního „univerzálního stroje“, tzv. Turingova stroje, kterému dnes říkáme počítač. Alan Turing je ovšem také známý (i díky filmu) dešifrováním válečného kódu Enigma.
Letní workshop na Dartmouthu
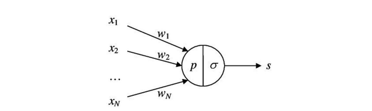
Počátky vývoje umělé inteligence úzce souvisejí s vývojem výpočetní techniky a je možné je sledovat zhruba od 40. let 20. století. Rozvoj výpočetních systémů (z dnešního pohledu ovšem velmi jednoduchých) vedl k úvahám o vytvoření modelu lidského neuronu. Jednou z osobností rozvoje kognitivních věd a umělé inteligence byl americký neurofyziolog s interdisciplinárním přesahem Warren McCulloch (1898 – 1969), který v roce 1943 společně s kolegou Walterem Pittsem popsal v článku „A Logical Calculus of the Ideas Immanent in Nervous Activity“ velmi jednoduchý matematický model základní buňky nervového systému. Tento neuron fungoval tak, že jeho výstup byl 0 nebo 1 podle toho, jestli vážená suma vstupních signálů překročila prahovou hranici či nikoliv.
MATFYZ UK: Obrázek: McCullochův model neuronu
Další rozvoj neuronových sítí byl ovšem spíše teoretický, protože tehdejší výpočetní systémy stále nebyly schopné velkých výkonů. V létě roku 1956 se na univerzitě Dartmouth College (Hanover, New Hampshire) konala akce s názvem Dartmouth Summer Research Project on Artificial Intelligence. Letní workshop zorganizoval tehdy mladý asistent matematiky John McCarthy (1927 – 2011) s cílem ukotvit debatu o „myslících strojích“. Akce trvala zhruba dva měsíce a zúčastnilo se jí něco kolem desítky vědců z různých oblastí, od matematiky a informatiky přes fyziku až po psychologii. V podstatě šlo o takový prodloužený brainstorming, který dal základy novému odvětví. Pro rodící se obor vybral McCarthy název umělá inteligence, což byl podle něj dostatečně neutrální termín, který nekolidoval s pojmy teorie automatů nebo kybernetika. Z McCarthyho se postupně stal uznávaný odborník na umělou inteligenci, který v roce 1971 obdržel Turingovu cenu, nejvyšší ocenění v oblasti informatiky.
MATFYZ UK: Obrázek: Odborník na AI John McCarthy v roce 2006
První zima umělé inteligence
Velký teoretický rozvoj oboru se ale následně začal utlumovat, protože stále chyběl praktický nástroj umožňující implementovat teoretické závěry v běžném životě. Výpočetní výkon tehdejších počítačů byl pořád nedostatečný a neumožňoval v reálném čase dospět k prezentovatelnému (a tedy i k prakticky použitelnému) výsledku. V důsledku těchto i dalších neúspěchů a pomalého vývoje nastal prudký pokles financování dalšího výzkumu a obecně pokles zájmu o umělou inteligenci. Pro toto období trvající zhruba od roku 1974 do roku 1980 se zpětně vžilo označení „první zima umělé inteligence“ (First AI Winter).
Stojaté vody koncem 80. let lehce rozvířil samořiditelný robotický systém, který vyvinuli vědci na Carnegie Mellon University v USA. Systém dokázal vnímat okolí a řídit malé vozítko, jeho výpočetní výkon byl však asi desetkrát menší, než mají dnešní chytré hodinky.
V roce 1997 porazil tehdejší „superpočítač“ DeepBlue firmy IBM světového šampiona v šachu Garry Kasparova, což lze z dnešního pohledu popsat tak trochu jako vítězství získané „hrubou silou“.
Manipulace pomocí AI
Nové tisíciletí přineslo nové možnosti, ale také hrozby. Především díky miniaturizaci a výrobnímu rozmachu mohlo dojít k výraznému zvětšení výpočetního výkonu. V posledních letech pozorujeme zejména velký rozmach strojového učení s využitím umělé inteligence. Dostupné jsou aplikace umožňující komunikaci (chatování) s „chytrým“ robotem, tzv. chatbotem. V této oblasti si velkou pozornost získala zejména firma OpenAI, která v roce 2022 uvedla na trh chatbot ChatGPT. Jde o jeden z největších a nejpropracovanějších jazykových modelů vůbec a zároveň o nejrychleji rostoucí spotřebitelskou aplikaci v dosavadní historii – již pár měsíců po uvedení měl chatbot více než 100 milionů uživatelů. ChatGPT dokáže generovat odpovědi v širokém spektru oblastí. Na základě slovního zadání zvládne napsat počítačový program, zanalyzovat data nebo třeba složit zkoušku na vysoké škole.
Po roce 2020 už je jasné, že umělá inteligence umožňuje generovat výstupy, které jsou velmi těžko či prakticky vůbec nerozlišitelné od skutečnosti. Internetem se šíří zprávy, články i videa, která prezentují částečně nebo úplně pozměněné informace. Tyto podvrhy, tzv. deepfakes, mají za cíl oklamat konzumenta, ovlivnit veřejné mínění či dokonce někoho poškodit. Masově rozšířené jsou například automaticky generované komentáře v internetových diskusích a na sociálních sítích. Rozpoznání takových „hluboce“ falešných zpráv (deep fake news) je stále problematičtější. Aktuální otázka, na kterou však zatím neexistuje uspokojivá odpověď, tak zní: co s tím?
- Umělá inteligence AlphaFold způsobila v biologii revoluci
- Budoucnost umělé inteligence při hodnocení vědecké práce
- Laboratoř na čipu pomůže efektivní syntéze léčiv i trénování umělé inteligence
- Umělá inteligence pomůže stanovit diagnózu pacientů
- Ohrozí rozhodnutí EU o umělé inteligenci evropské startupy?
- Dokáže umělá inteligence napsat vědecký článek?
- Umělá inteligence může odborným nakladatelstvím pomoci. Musíme ale tlačit na její otevřenost a kvalitu
- Expert: Umělá inteligence nám časem pomůže s peer review
- Akt o umělé inteligenci: dohoda přinesla odstupňovaný systém regulací a smíšené reakce
- Matouš Kostlivý: V oblasti umělé inteligence má Česko obrovský potenciál




