GCMS
Další informace
WebinářeO násKontaktujte násPodmínky užití
LabRulez s.r.o. Všechna práva vyhrazena. Obsah dostupný pod licencí CC BY-SA 4.0 Uveďte původ-Zachovejte licenci.
Autor
Eurachem
Eurachem
Je národní organizace evropské sítě Eurachem zaměřené na podporu kvality analytických měření a jejich metrologické návaznosti. Je organizací vědeckých, pedagogických a odborných pracovníků oboru analytické chemie, sdružených ke společné činnosti, jejíž účelem je podílet se v České republice na systémových opatřeních vedoucích k zabezpečení jakosti výsledků chemických analýz, osvětové činnosti v tomto oboru a zintenzivnění přenosu informací z vyspělých zemí.
Tagy
Článek
Akademie
LinkedIn Logo

Metodický list 12 - Jak může pomoci zkoušení způsobilosti mé laboratoři?

St, 15.4.2020
| Originální článek z: Eurachem-ČR/Zbyněk Plzák
Zkoušení způsobilosti (PT) se užívá u kvantitativních, kvalitativních a interpretačních hodnocení, tento leták se však zaměřuje na PT pro kvantitativní zkoušky.
<p>Pixabay/Michal Jarmoluk: Jak může pomoci zkoušení způsobilosti mé laboratoři?</p>

Pixabay/Michal Jarmoluk: Jak může pomoci zkoušení způsobilosti mé laboratoři?

Úvod

Zkoušení způsobilosti (PT) se užívá u kvantitativních, kvalitativních a interpretačních hodnocení, tento leták se však zaměřuje na PT pro kvantitativní zkoušky. Účast v PT je v analytických laboratořích nepostradatelnou součástí zabezpečování kvality a přináší jim mnoho užitečného. Poskytovatel PT hodnotí výkonnost účastníků pomocí předem stanovených kritérií, definovaných v návrhu programu PT.

Hodnocení výkonnosti

Většina programů PT používá některý z druhů skóre výkonnosti, jakými jsou např z-skóre a podobné (1), spolu s odpovídajícími kritérii hodnocení. Určí se vztažná hodnota X a směrodatná odchylka σp pro posuzování způsobilosti a ty se použijí pro výpočet výkonnostního skóre laboratorních výsledků x, např. z-skóre *z = (x - X) / σp*.

Pro hodnocení z-skóre se používají následující kritéria:

  • |z-skóre| ≤ 2,0 je považováno za uspokojivé;

  • 2,0 < |z-skóre| < 3,0 je považováno za sporné (‚varovný signál‘);

  • |z-skóre| ≥ 3,0 je považováno za neuspokojivé (‚signál pro akci‘).

Toto hodnocení vychází z konceptu, že analytické výsledky s normálním rozdělením leží v rozmezí dvou směrodatných odchylek s pravděpodobností 95 %, v rozmezí tří směrodatných odchylek s pravděpodobností 99,7 %.

Poskytovatelé PT mají několik možností k určení σp jakými jsou předepsaná/dosahovaná požadovaná analytická výkonnost nebo pozorované rozdělení dat. Poskytovatelem PT použitá σp nemusí být vhodná pro všechny laboratoře. Pokud je k tomu důvod, mohou pak účastníci vypočítat svoje vlastní z-skóre za použití alternativní hodnoty σp, která je pro ně vhodnější.

Nápravná opatření

Neuspokojivá výkonnost (‚signál pro akci‘) ukazuje na možné problémy prováděných analýz. Laboratoř ji musí podrobit zkoumání (např. kontrolou možných chyb při přepisování/výpočtech, pravdivosti a preciznosti) a pokud je to třeba, musí se zaměřit na problémy prostřednictvím nápravných opatření. Účast v PT přináší laboratoři velmi omezený prospěch, jestliže odpovídajícím způsobem nereaguje na neuspokojivá skóre výkonnosti.

Hodnocení výsledků v průběhu času

Kromě vnitřního řízení kvality umožňuje pravidelná účast v PT laboratořím sledovat jejich výkonnost v průběhu času a rozpoznat trendy dříve, než se stanou problémem. Skóre výkonnosti získaná z následných cyklů PT se mohou vynášet v regulačním diagramu.

Porovnání metod

Tam, kde programy PT vyžadují, aby účastníci uváděli, jakou metodu používali, může účastník srovnat výkonnost své metody s výkonností ostatních použitých metod.

Použití údajů z PT pro odhad vychýlení (bias)

Vychýlení (bias) metody by se mělo stanovit za použití certifikovaných referenčních materiálů (CRM) nebo srovnáním s referenční metodou. Tyto metody však nemusí být dostupné pro všechny matrice, analyty a úrovně, nebo CRM nemusí plně odpovídat reálným zkušebním vzorkům. Účast v PT poskytuje možnost kontroly vychýlení s přihlédnutím k vlivům matrice a změnám koncentrace za předpokladu, že je v PT zvolen spolehlivý odhad „pravé hodnoty“. Účast v několika cyklech PT též poskytne informaci o variabilitě vychýlení, která může být použita jako příspěvek při vyhodnocení nejistoty měření laboratoře.

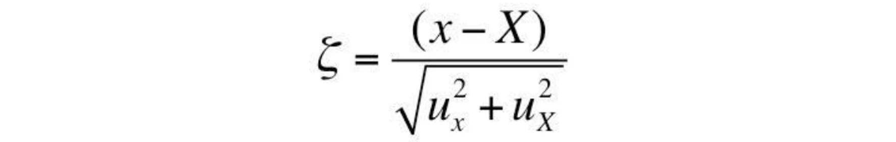
Použití PT ke kontrole nejistot měření

Skóre ζ (zeta) může napomoci při kontrole věrohodnosti odhadu nejistoty měření laboratoře. Vypočítá se následujícím způsobem, kde x je výsledek laboratoře, X vztažná hodnota a ux a uX jejich odpovídající standardní nejistoty:

Hodnotící kritéria pro uspokojivé, sporné a neuspokojivé výsledky jsou stejná jako u z-skóre. Nejistota uváděná pro výsledek měření laboratoře představuje odhad přesnosti, kterou laboratoř tvrdí, že dosahuje. Jestliže ζ (zeta) skóre jsou mimo přijatelný rozsah, ukazuje to, že laboratoř není schopna dostát svým vlastním požadavkům. Jinými slovy, nejistota měření je podhodnocena.

Navíc standardní nejistotu měření výsledku laboratoře je možno očekávat nižší, než je reprodukovatelnost zjištěná ve zkoušení způsobilosti. Pokud je nejistota měření mnohem nižší, je třeba odhad nejistoty přezkoumat.

Prokazování způsobilosti

Na úspěšnou účast v PT (|z-skóre| ≤ 2,0) nahlíží často zákazníci, akreditační a regulační orgány jako na důkaz způsobilosti. PT může rovněž působit pro laboratoř jako cenný vzdělávací prvek, například může nepřímo svědčit o úspěšném provedení školení pracovníků nebo zda je potřeba další školení.

Zdroje

(1) Další používaná skóre uvádí ISO 13528

EURACHEM (2011): Selection, Use and Interpretation of Proficiency Testing (PT) Schemes by Laboratories

Informace o poskytovatelích a programech PT lze získat u národního akreditačního orgánu, z webové aplikace EPTIS nebo u mezinárodních organizací jako Eurachem, Eurolab a EQALM.

Eurachem
LinkedIn Logo
 

Mohlo by Vás zajímat

Alcohol Determination of Sanitizer Gel Using Nexis GC-2060

Aplikace
| 2026 | Shimadzu
Instrumentace
GC
Výrobce
Shimadzu
Zaměření
Farmaceutická analýza

Sensitive and Reproducible Determination of Nitrosamines by GC/MSD

Aplikace
| 2026 | Agilent Technologies
Instrumentace
GC/MSD, GC/SQ
Výrobce
Agilent Technologies
Zaměření
Životní prostředí

High-Throughput BTEX Analysis in Nail Products by SPME and GC/TQ

Aplikace
| 2026 | Agilent Technologies
Instrumentace
GC/MSD, GC/MS/MS, GC/QQQ, SPME
Výrobce
Agilent Technologies
Zaměření
Materiálová analýza

Accurate multi-component blast furnace gas analysis maximizes iron production and minimizes coke consumption

Aplikace
| 2026 | Thermo Fisher Scientific
Instrumentace
GC/MSD
Výrobce
Thermo Fisher Scientific
Zaměření
Průmysl a chemie

Gas Chromatograph Nexis GC-2060

Brožury a specifikace
| 2026 | Shimadzu
Instrumentace
GC
Výrobce
Shimadzu
Zaměření
Ostatní
 

Podobné články

Metodický list 5 - Mezilaboratorní experiment –proč a jak
Článek | Akademie

Metodický list 5 - Mezilaboratorní experiment –proč a jak

Tento metodický list roztřiďuje jednotlivé druhy mezilaboratorních experimentů a zaměřuje se na nejčetnější provedení – zkoušení způsobilosti.
Eurachem
tag
share
more
Metodický list 21 - Použití zbylých položek ze zkoušení způsobilosti
Článek | Akademie

Metodický list 21 - Použití zbylých položek ze zkoušení způsobilosti

Po dokončení cyklu zkoušení způsobilosti (PT) mají někdy poskytovatelé zkoušení způsobilosti k dispozici zbylé používané zkušební položky. Jaké jsou výhody a omezení použití takových zbylých položek PT.
Eurachem
tag
share
more
Programy zkoušení způsobilosti pro vzorkování
Článek | Akademie

Programy zkoušení způsobilosti pro vzorkování

Tento leták nabízí poskytovatelům zkoušení způsobilosti určité náměty pro aplikaci ISO/IEC 17043 (1) v oblasti organizace programů zkoušení způsobilosti (PT) pro vzorkování.
Eurachem
tag
share
more
Metodický list 28 – Jak rozumět hodnocení výkonnosti v PT
Článek | Akademie

Metodický list 28 – Jak rozumět hodnocení výkonnosti v PT

Tento leták má pomoci účastníkům programů kvantitativního zkoušení způsobilosti (PT) lépe porozumět hodnocení výkonnosti, které provádí poskytovatel PT.
Eurachem
tag
share
more
 

Mohlo by Vás zajímat

Alcohol Determination of Sanitizer Gel Using Nexis GC-2060

Aplikace
| 2026 | Shimadzu
Instrumentace
GC
Výrobce
Shimadzu
Zaměření
Farmaceutická analýza

Sensitive and Reproducible Determination of Nitrosamines by GC/MSD

Aplikace
| 2026 | Agilent Technologies
Instrumentace
GC/MSD, GC/SQ
Výrobce
Agilent Technologies
Zaměření
Životní prostředí

High-Throughput BTEX Analysis in Nail Products by SPME and GC/TQ

Aplikace
| 2026 | Agilent Technologies
Instrumentace
GC/MSD, GC/MS/MS, GC/QQQ, SPME
Výrobce
Agilent Technologies
Zaměření
Materiálová analýza

Accurate multi-component blast furnace gas analysis maximizes iron production and minimizes coke consumption

Aplikace
| 2026 | Thermo Fisher Scientific
Instrumentace
GC/MSD
Výrobce
Thermo Fisher Scientific
Zaměření
Průmysl a chemie

Gas Chromatograph Nexis GC-2060

Brožury a specifikace
| 2026 | Shimadzu
Instrumentace
GC
Výrobce
Shimadzu
Zaměření
Ostatní
 

Podobné články

Metodický list 5 - Mezilaboratorní experiment –proč a jak
Článek | Akademie

Metodický list 5 - Mezilaboratorní experiment –proč a jak

Tento metodický list roztřiďuje jednotlivé druhy mezilaboratorních experimentů a zaměřuje se na nejčetnější provedení – zkoušení způsobilosti.
Eurachem
tag
share
more
Metodický list 21 - Použití zbylých položek ze zkoušení způsobilosti
Článek | Akademie

Metodický list 21 - Použití zbylých položek ze zkoušení způsobilosti

Po dokončení cyklu zkoušení způsobilosti (PT) mají někdy poskytovatelé zkoušení způsobilosti k dispozici zbylé používané zkušební položky. Jaké jsou výhody a omezení použití takových zbylých položek PT.
Eurachem
tag
share
more
Programy zkoušení způsobilosti pro vzorkování
Článek | Akademie

Programy zkoušení způsobilosti pro vzorkování

Tento leták nabízí poskytovatelům zkoušení způsobilosti určité náměty pro aplikaci ISO/IEC 17043 (1) v oblasti organizace programů zkoušení způsobilosti (PT) pro vzorkování.
Eurachem
tag
share
more
Metodický list 28 – Jak rozumět hodnocení výkonnosti v PT
Článek | Akademie

Metodický list 28 – Jak rozumět hodnocení výkonnosti v PT

Tento leták má pomoci účastníkům programů kvantitativního zkoušení způsobilosti (PT) lépe porozumět hodnocení výkonnosti, které provádí poskytovatel PT.
Eurachem
tag
share
more
 

Mohlo by Vás zajímat

Alcohol Determination of Sanitizer Gel Using Nexis GC-2060

Aplikace
| 2026 | Shimadzu
Instrumentace
GC
Výrobce
Shimadzu
Zaměření
Farmaceutická analýza

Sensitive and Reproducible Determination of Nitrosamines by GC/MSD

Aplikace
| 2026 | Agilent Technologies
Instrumentace
GC/MSD, GC/SQ
Výrobce
Agilent Technologies
Zaměření
Životní prostředí

High-Throughput BTEX Analysis in Nail Products by SPME and GC/TQ

Aplikace
| 2026 | Agilent Technologies
Instrumentace
GC/MSD, GC/MS/MS, GC/QQQ, SPME
Výrobce
Agilent Technologies
Zaměření
Materiálová analýza

Accurate multi-component blast furnace gas analysis maximizes iron production and minimizes coke consumption

Aplikace
| 2026 | Thermo Fisher Scientific
Instrumentace
GC/MSD
Výrobce
Thermo Fisher Scientific
Zaměření
Průmysl a chemie

Gas Chromatograph Nexis GC-2060

Brožury a specifikace
| 2026 | Shimadzu
Instrumentace
GC
Výrobce
Shimadzu
Zaměření
Ostatní
 

Podobné články

Metodický list 5 - Mezilaboratorní experiment –proč a jak
Článek | Akademie

Metodický list 5 - Mezilaboratorní experiment –proč a jak

Tento metodický list roztřiďuje jednotlivé druhy mezilaboratorních experimentů a zaměřuje se na nejčetnější provedení – zkoušení způsobilosti.
Eurachem
tag
share
more
Metodický list 21 - Použití zbylých položek ze zkoušení způsobilosti
Článek | Akademie

Metodický list 21 - Použití zbylých položek ze zkoušení způsobilosti

Po dokončení cyklu zkoušení způsobilosti (PT) mají někdy poskytovatelé zkoušení způsobilosti k dispozici zbylé používané zkušební položky. Jaké jsou výhody a omezení použití takových zbylých položek PT.
Eurachem
tag
share
more
Programy zkoušení způsobilosti pro vzorkování
Článek | Akademie

Programy zkoušení způsobilosti pro vzorkování

Tento leták nabízí poskytovatelům zkoušení způsobilosti určité náměty pro aplikaci ISO/IEC 17043 (1) v oblasti organizace programů zkoušení způsobilosti (PT) pro vzorkování.
Eurachem
tag
share
more
Metodický list 28 – Jak rozumět hodnocení výkonnosti v PT
Článek | Akademie

Metodický list 28 – Jak rozumět hodnocení výkonnosti v PT

Tento leták má pomoci účastníkům programů kvantitativního zkoušení způsobilosti (PT) lépe porozumět hodnocení výkonnosti, které provádí poskytovatel PT.
Eurachem
tag
share
more
 

Mohlo by Vás zajímat

Alcohol Determination of Sanitizer Gel Using Nexis GC-2060

Aplikace
| 2026 | Shimadzu
Instrumentace
GC
Výrobce
Shimadzu
Zaměření
Farmaceutická analýza

Sensitive and Reproducible Determination of Nitrosamines by GC/MSD

Aplikace
| 2026 | Agilent Technologies
Instrumentace
GC/MSD, GC/SQ
Výrobce
Agilent Technologies
Zaměření
Životní prostředí

High-Throughput BTEX Analysis in Nail Products by SPME and GC/TQ

Aplikace
| 2026 | Agilent Technologies
Instrumentace
GC/MSD, GC/MS/MS, GC/QQQ, SPME
Výrobce
Agilent Technologies
Zaměření
Materiálová analýza

Accurate multi-component blast furnace gas analysis maximizes iron production and minimizes coke consumption

Aplikace
| 2026 | Thermo Fisher Scientific
Instrumentace
GC/MSD
Výrobce
Thermo Fisher Scientific
Zaměření
Průmysl a chemie

Gas Chromatograph Nexis GC-2060

Brožury a specifikace
| 2026 | Shimadzu
Instrumentace
GC
Výrobce
Shimadzu
Zaměření
Ostatní
 

Podobné články

Metodický list 5 - Mezilaboratorní experiment –proč a jak
Článek | Akademie

Metodický list 5 - Mezilaboratorní experiment –proč a jak

Tento metodický list roztřiďuje jednotlivé druhy mezilaboratorních experimentů a zaměřuje se na nejčetnější provedení – zkoušení způsobilosti.
Eurachem
tag
share
more
Metodický list 21 - Použití zbylých položek ze zkoušení způsobilosti
Článek | Akademie

Metodický list 21 - Použití zbylých položek ze zkoušení způsobilosti

Po dokončení cyklu zkoušení způsobilosti (PT) mají někdy poskytovatelé zkoušení způsobilosti k dispozici zbylé používané zkušební položky. Jaké jsou výhody a omezení použití takových zbylých položek PT.
Eurachem
tag
share
more
Programy zkoušení způsobilosti pro vzorkování
Článek | Akademie

Programy zkoušení způsobilosti pro vzorkování

Tento leták nabízí poskytovatelům zkoušení způsobilosti určité náměty pro aplikaci ISO/IEC 17043 (1) v oblasti organizace programů zkoušení způsobilosti (PT) pro vzorkování.
Eurachem
tag
share
more
Metodický list 28 – Jak rozumět hodnocení výkonnosti v PT
Článek | Akademie

Metodický list 28 – Jak rozumět hodnocení výkonnosti v PT

Tento leták má pomoci účastníkům programů kvantitativního zkoušení způsobilosti (PT) lépe porozumět hodnocení výkonnosti, které provádí poskytovatel PT.
Eurachem
tag
share
more
Další projekty
LCMS
ICPMS
Sledujte nás
FacebookX (Twitter)LinkedInYouTube
Další informace
WebinářeO násKontaktujte násPodmínky užití
LabRulez s.r.o. Všechna práva vyhrazena. Obsah dostupný pod licencí CC BY-SA 4.0 Uveďte původ-Zachovejte licenci.