Shimadzu: Shimadzu IRSpirit FTIR spektrometr

- Foto: Shimadzu: Shimadzu IRSpirit FTIR spektrometr
-Video: Shimadzu Analytical and Measuring Instruments: IRSpirit-X Series Fourier Transform Infrared Spectrophotometer
Shimadzu IRSpirit, připraven k provozu
FTIR spektrometry IRSpirit jsou mimořádně kompaktní, ale přesto je lze používat společně se standardním příslušenstvím od společnosti Shimadzu a dalších výrobců.
Přístroje IRSpirit se dodávají se softwarem IR Pilot, který nabízí 23 pracovních postupů specifických pro danou aplikaci, které jsou připraveny k použití bez nutnosti nastavování parametrů. Měřte více vzorků jediným kliknutím.
Vyberte si IRSpirit-T se stejnou citlivostí jako standardní spektrometry Shimadzu nebo cenově dostupný IRSpirit-L.
Prostorově úsporný s vysokou rozšiřitelností
Vejde se i do malých prostor
Obecně roste potřeba systémů, které se vejdou do stísněných prostor, například pro seřazení řady jednotek používaných pro studentské experimenty nebo pro měření v prostředí s mnoha různými vzorky a experimentálními nástroji rozloženými pro použití při chemické syntéze. Na pracovištích, kde je k dispozici pouze úzký prostor, lze vzorky měřit také s vertikálně umístěnou jednotkou (viz schéma níže). Spouštěcí vypínač je přístupný a indikátor vlhkosti je viditelný z obou směrů. Hranol a hlavní jednotka FTIR mají stejnou výšku. Proto lze vzorky umístit přímo na nástavec ATR, který je integrován do prostoru pro vzorky. Tím lze odstranit potíže s úpravou velkých vzorků.
Shimadzu: IRSpirit FTIR spektrometr se vejde do opravdu malých prostor
Shimadzu: Umístění vypínače a indikátoru vlhkosti
Výprodej skladových systémů Shimadzu za akční ceny. POZOR, IRSpirit FTIR spektrometr v akci
V sekci BAZAR NYNÍ NABÍZÍME:
Shimadzu IRSpirit T FTIR spektrometr (Výprodej/Nový)
Stav: Nové, Záruka: 24 měsíců, Rok výroby: 2023
Velký prostor pro vzorky v malém těle přístroje
Navzdory velikosti těla přístroje menší než list papíru A3 (297 x 420 mm) je šířka prostoru pro vzorky stejná jako u modelů vyšší třídy. Díky tomu je přístroj kompatibilní s mnoha doplňky Shimadzu i jiných výrobců, což umožňuje jeho použití pro širokou škálu aplikací.
Shimadzu: Velký prostor pro vzorky i v malém spektrometru Shimadzu IRSpirit FTIR
Speciální program IR Pilot zajišťuje okamžitý a snadný provoz systému
IR pilot - IR Pilot standardně nabízí celkem 23 aplikačních programů, které usnadňují analýzu vzorků operátorům s minimálními zkušenostmi s FTIR pouhým výběrem účelu analýzy a příslušenství. Není třeba nastavovat žádné parametry. Umožňuje měření více vzorků jediným kliknutím.
Program identifikačních testů
Tento program provádí posouzení vyhovuje/nevyhovuje pro testované vzorky na základě ověřovacích metod popsaných v lékopisech a normách specifikovaných v jednotlivých zemích, například "Infračervená spektrometrie" v japonském lékopise a japonské specifikace a normy pro potravinářské přídatné látky. Kromě identifikačních testů pro zkoušky identifikace farmaceutických a potravinářských výrobků lze program použít také pro přejímací a předexpediční kontroly. Program vypočítá rozdíl mezi vlnočty píků ze standardních a zkušebních vzorků a rozdíl mezi poměry intenzit píků a poté vytiskne report s výsledky posouzení vyhověl/nevyhověl. Obsahuje spektra pro 57 látek specifikovaných v japonských specifikacích a normách pro potravinářské přídatné látky.
Program pro analýzu kontaminantů
Program pro analýzu kontaminantů identifikuje naměřené kontaminanty pomocí vlastního identifikačního algoritmu společnosti Shimadzu (japonský patent č. 5205918) v kombinaci se spektrální knihovnou obsahující více než 550 spekter látek běžně detekovaných jako kontaminanty. Po analýze dat automaticky provede posouzení vyhovuje/nevyhovuje a vytvoří report. I když je kontaminant směsí, vyhledá hlavní a vedlejší složky a zobrazí jejich pořadí. Vzhledem k tomu, že počet složek ve směsi není třeba uvádět, mohou vzorky snadno analyzovat i operátoři s minimálními zkušenostmi s infračervenou analýzou.
Vysoká spolehlivost je zárukou, že systém může být uveden s důvěrou
Technologie zděděná z modelů vyšší třídy
Shimadzu: Technologie zděděná z modelů vyšší třídy
Vysoká stabilita a výkonnost - Funkce dynamického zarovnávání rychlostí 5000krát za sekundu a keramický zdroj světla s vysokou svítivostí.
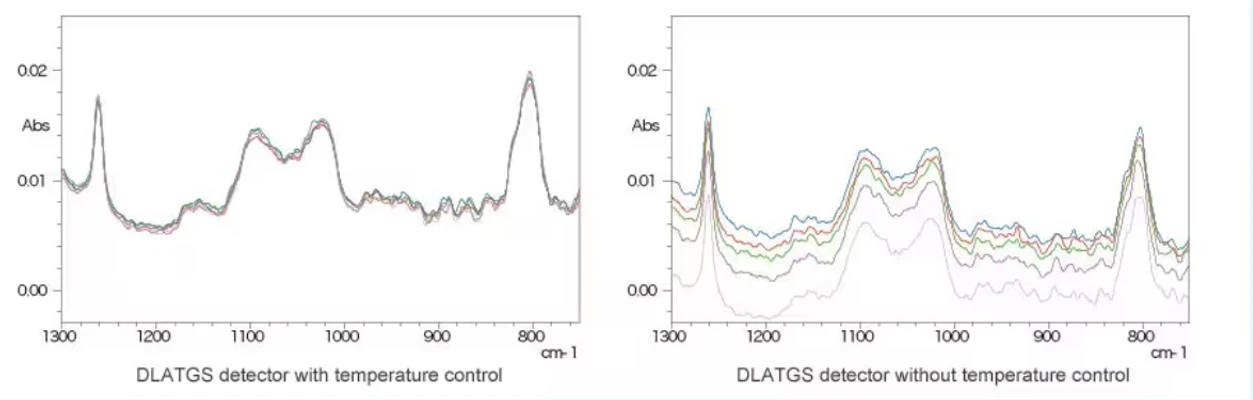
Vysoká citlivost srovnatelná s modely pro všeobecné použití (IRSpirit-T) - Detektor DLATGS s funkcí regulace teploty
Obsah silikonového oleje v parafínovém oleji (1,0 %) byl získán pětinásobným opakováním jednoodrazové ATR metody. Data získaná pomocí detektoru DLATGS s regulací teploty jsou zobrazena vlevo a data získaná pomocí detektoru DLATGS bez regulace teploty jsou zobrazena vpravo. Vnitřní teplo v přístroji a teplota prostředí způsobily velké kolísání základní linie dat bez regulace teploty. Naproti tomu použití detektoru s regulací teploty vedlo k vysoce opakovatelným datům.
Shimadzu: ATR spektrum obsahu silikonového oleje v parafínovém oleji (měření se opakuje pětkrát)
Vysoká spolehlivost díky konstrukci odolné proti vlhkosti
Robustní optika je navržena tak, aby systém mohl být spolehlivě používán i v náročných teplotních a vlhkostních podmínkách.
- Optika uzavřená v těle z hliníkového tlakového odlitku.
- Funkce sledování stavu obsahuje elektrické a papírové indikátory.
- Rozdělovač paprsku obsahuje povlak odolný proti vlhkosti.
- Vyberte si z okénka KBr (do 70 % relativní vlhkosti) nebo okénka KBS-5 (do 90 % relativní vlhkosti), která obsahují povlak odolný proti vlhkosti (bez kondenzace).
- Volitelně lze nainstalovat elektrický odvlhčovač.
Shimadzu: Konstrukce odolná proti vlhkosti
Monitorování stavu přístroje
Stav přístroje se automaticky ověřuje při spuštění a výsledky se ukládají do reportu. Tato funkce je zvláště výhodná pro správu přístrojů. Součástí jsou také programy vyhovující lékopisu, které jsou vhodné pro rutinní kontroly.
Autodiagnostická funkce - Automatická autodiagnostická funkce kontroluje signální systém a optiku během inicializace přístroje. Získává řadu informací a výsledky automaticky vypisuje do jednoho souboru, což usnadňuje správu přístroje. Lze také potvrdit historii stavu přístroje.
Funkce sledování stavu - Tato funkce nepřetržitě monitoruje a spravuje informace o světelném zdroji, polovodičovém laseru, vlhkosti uvnitř přístroje, připojení okenní desky (zámek) a příslušenství.
Nejnovější Aplikace od společnosti Shimadzu z knihovny LabRulez ICPMS
Analysis of Minute Objects Using the SurveyIR Sample Compartment Type Infrared Microscopy System (Aplikace | 2023)
Identification Test of the Ibuprofen Active Ingredient Compliant with European Pharmacopoeia and United States Pharmacopeia and Analysis of Final Product (Commercial Pharmaceutical) by ATR Method (Aplikace | 2023)
FTIR Analysis of Recycled Plastics Using the Spectrum Advisor Function (Aplikace | 2023)
Microplastics Monitoring in Environmental Epipelagic Water (Ostatní | 2023)
Analysis of Microplastics in Environmental Water Using Microplastic Automatic Preparation Device MAP-100 and FTIR (Aplikace | 2023)
Microplastic Automatic Preparation Device MAP-100 (Brožury a specifikace | 2023)
Solutions for Contaminant Analysis (Brožury a specifikace | 2023)
Shimadzu Journal Vol. 10 - Forensics / Toxicology (Ostatní | 2023)
Shimadzu Analytical and Measuring Instrument (Brožury a specifikace | 2023)
CASE and Weight Reduction Development of Automobile (Příručky | 2023)




