Vaříme s termickou analýzou (DSC, STA)

- Foto: Pragolab: Vaříme s termickou analýzou
- Video: Hitachi High-Tech GlobalTV: NEXTA DSC | Thermal Analysis | Demo
Moderní metody termické analýzy už dávno nejsou spojeny pouze s polymerními systémy a často přesahují rámec standardních materiálových věd. Příkladem může být použití těchto metod ve farmacii, lékařských vědách, systematické analýze životního prostředí nebo třeba právě v potravinářství. Mimo komplexní a rychlé analýzy nabízí metody termické analýzy také možnost simulace a optimalizace zpracovatelských postupů.
Jak se k tomu staví Hitachi
Hitachi, jakožto technologický leader, tuto skutečnost chápe a nabízí řadu aplikačních a technologických řešení v oblasti potravin. Velkou výhodou je, že získaná informace je z hlediska složení a interakcí jednotlivých analytů komplexní a díky připojitelným spektrálním technikám i chemicky specifická. Nasazení právě spektrálních technik a pokročilé analýzy obrazu činí z metod DSC a STA výkonné nástroje.
Pragolab: Vaříme s termickou analýzou
Uzenářské a masné výrobky
Metody DSC (diferenční srovnávací kalorimetrie) lze s výhodou použít ke studiu složení masných výrobků z hlediska vody, tuků a proteinů a jejich chování v teplotním profilu dalšího zpracování. Tento výrobek byl tedy rozmrazen a je dostatečně tepelně zpracován. K potvrzení analýzy bylo provedeno následující měření.
Pragolab: Vaříme s termickou analýzou - Obr. 2 Uzenářské a masné výrobky.
Pragolab: Vaříme s termickou analýzou - Obr. 3 Uzenářské a masné výrobky
Původ a termální historie potravin
Lokální podmínky výroby a zpracování potravin determinují jejich chování při DSC měření. Jednoduchou a levnou metodou lze tak sledovat např. změny na straně dodavatele nebo reflektovat dietní požadavky zákazníků.
Zde uvádíme příklad rýže, kde hlavní měřenou složkou je obsah a stupeň želatinace škrobu.
Pragolab: Vaříme s termickou analýzou - Obr. 4 Původ a termální historie potravin (rýže)
Pragolab: Vaříme s termickou analýzou - Obr. 5 Původ a termální historie potravin (rýže)
Dva endotermní píky u měření (A) znamenají obsah škrobu 20% amylóza a 80% amylopektin. U předvařené rýže, která již prošla částečnou želatinací je pík jen u 53°C. U vzorku (C) není želatinace patrná vůbec díky metodě zpracování a zmražení.
Oxidativní stabilita chipsů a instantních jídel
Použití různých typů olejů do chipsů a instantních jídel do jisté míry určuje jejich stabilitu. Údaj o stabilitě je důležitý pro určení skladování a trvanlivosti. Při zvažování kompozice výrobku nebo při hodnocení jejich stability je metoda STA (simultánní DSC a TGA termogravimetrická analýza) rychlou a snadnou metodou.
Vzorky se skladují při laboratorní teplotě určitý počet dní a poté se měří v otevřené vzorkovnici za přítomnosti vzduchu při 150°C. Ukazatelem je čas, kdy nastane exotermní pík znamenající degradaci vzorku.
Pragolab: Vaříme s termickou analýzou - Obr. 6 Oxidativní stabilita chipsů a instantních jídel
Z hlediska oxidativní stability je nejstabilnější palmový olej, i když je třeba vzít v potaz environmentální aspekty jeho výroby. Stejným způsobem byly měřeny i výrobky.
Pragolab: Vaříme s termickou analýzou - Obr. 7 Oxidativní stabilita chipsů a instantních jídel
Pragolab: Vaříme s termickou analýzou - Obr. 8 Oxidativní stabilita chipsů a instantních jídel
Nejstabilnějším výrobkem byly chipsy, a to díky použití palmového oleje a stabilizátorů. Značný rozdíl stability u instantních nudlí mezi 0 a 7 dny je zřejmě i díky balení v inertní atmosféře.
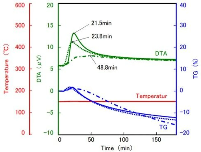
Toxicita obalů potravin
Smršťovací a jiné fólie jsou dnes běžnou součástí balení potravin a jsou velmi oblíbené díky nízké hmotnosti a ceně. Některé však mohou při nevhodném použití, např. ohřevu zabalených potravin, uvolňovat nebezpečné látky. Metoda STA ve spojení s GC-MS nám snadno řekne za jakých teplot k tomu dochází.
Pragolab: Vaříme s termickou analýzou - Obr. 9 Toxicita obalů potravin
Pragolab: Vaříme s termickou analýzou - Obr. 10 Toxicita obalů potravin
Závěrem
Společnost Pragolab úspěšně dodává a servisně i aplikačně podporuje moderní termické analyzátory japonské značky Hitachi. Tyto přístroje vykazují značnou univerzálnost a bohatost získané informace, která má své uplatnění také na poli analýzy potravin. Avšak jedná se o stále ne zcela prozkoumanou oblast s vysokým potenciálem.
Pro více informací kontaktujte Jaroslava Kolejku na [email protected].




