GCMS
Další informace
WebinářeO násKontaktujte násPodmínky užití
LabRulez s.r.o. Všechna práva vyhrazena. Obsah dostupný pod licencí CC BY-SA 4.0 Uveďte původ-Zachovejte licenci.
Autor
SHIMADZU Handels GmbH - organizační složka
SHIMADZU Handels GmbH - organizační složka
Naším posláním je šířit informace o produktech firmy Shimadzu v oblasti instrumentálních analytických přístrojů, přístrojů pro testování materiálů a speciálních přístrojů pro life science, jejich prodej a následně - instalace, zaškolení, záruční a pozáruční servis, ověřování a validace a aplikační podpora.
Tagy
Článek
Aplikace
Produkt
Video
LinkedIn Logo

Použití FTIR pro detekci mikrobiální kontaminace během výroby mikrobiálních produktů

Út, 27.1.2026
| Originální článek z: Shimadzu
FTIR spektroskopie jako rychlý nástroj pro detekci mikrobiální kontaminace při výrobě mikrobiálních produktů. Aplikační poznámka ukazuje praktické využití DRS-FTIR a chemometrie v reálném procesu.
Video placeholder
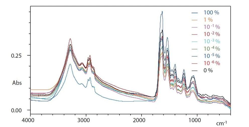
  • Foto: Shimadzu: Použití FTIR pro detekci mikrobiální kontaminace během výroby mikrobiálních produktů: Obrázek 4: IČ spektra
  • Video: Shimadzu Scientific Instruments: Overview and Introduction of the Workhorse IRXross FTIR Spectrometer

Přínosy pro uživatele

  • Tuto techniku lze použít k detekci mikrobiální kontaminace ve výrobním procesu mikrobiálních produktů.
  • Příslušenství pro difúzní odraz a "microfocuse" destička umožňují efektivní měření více vzorků.
  • Doba analýzy přibližně 30 sekund na vzorek umožňuje velmi rychlé dokončení analytických úloh.

Úvod

Výrobu mikrobiálních produktů lze shrnout do pěti kroků znázorněných na obr. 1. Nejprve jsou zásobní mikrobiální buňky rozmrazeny (aktivace), poté předkultivovány (v malém objemu média), následně kultivovány ve fázi expanze (ve velkoobjemové kultuře), sklizeny a nakonec dále zpracovány tak, aby vznikl finální produkt vhodný pro komerční prodej. Mikrobiální kontaminace tohoto výrobního procesu má však zásadní vliv na kvalitu a bezpečnost produktu, a proto musí být detekována rychle a přesně.

Infračervená spektrofotometrie s Fourierovou transformací (FTIR), analytická technika určená ke charakterizaci molekulární struktury analytů, si získala pozornost zejména díky své účinnosti při identifikaci mikroorganismů. Infračervená spektra zaznamenaná FTIR analýzou mikroorganismu obsahují informace o lipidech, polysacharidech, proteinech, sacharidech a dalších molekulárních složkách daného mikroorganismu¹), které lze využít k monitorování mikroorganismů kultivovaných za pevně daných podmínek (stejné kultivační médium, teplota a čas).

V této aplikační poznámce byl FTIR systém IRXross (obr. 2) kombinován s příslušenstvím pro difúzní odraz DRS-8000 a použit k detekci mikrobiální kontaminace během výroby mikrobiálních produktů.

Příprava vzorků

Vzorky byly pro analýzu připraveny následujícím postupem. Pro každý vzorek byly připraveny a analyzovány tři body.

  1. Celý kultivační roztok byl odstředěn v centrifugační zkumavce a supernatant byl odstraněn.
  2. Vzniklá sraženina byla promyta přidáním fyziologického roztoku a centrifugací směsi při laboratorní teplotě.
  3. Po opětovném odstranění supernatantu byla ke sraženině přidána ultračistá voda a směs byla intenzivně protřepána. Následně byl přidán ethanol na konečnou koncentraci 70 %.
  4. Byly přidány zirkoniové kuličky a směs byla homogenizována za vzniku suspenze.
  5. Následně bylo 5 µL zředěného roztoku z kroku (4) naneseno do "microfocuse" destičky (64 jamek) a usušeno.

Shimadzu: Obr. 1 Výrobní proces mikrobiálního produktuShimadzu: Obr. 1 Výrobní proces mikrobiálního produktu

Podmínky analýzy a zpracování dat

Podmínky použité pro FTIR analýzu jsou uvedeny níže. Analýza byla provedena metodou  infračervené spektroskopie s Fourierovou transformací s difúzním odrazem (DRS), která nabízí výhody v podobě analýzy více vzorků a snadného čištění vzorků. FTIR systém byl navíc plně proplachován dusíkem, aby se snížil vliv atmosférické vodní páry a oxidu uhličitého na analýzu.

Shimadzu: Obr. 2 IRXrossShimadzu: Obr. 2 IRXross

Infračervená spektra byla zaznamenána pomocí automatizovaného softwaru pro DRS měření (obr. 3). Jako předzpracování infračervených spekter byla provedena druhá derivace (Savitzky-Golayův filtr), výběr spektrální oblasti (1300 až 800 cm⁻¹) a normalizace na jednotkový vektor. Takto upravená data byla následně analyzována pomocí analýzy hlavních komponent (PCA) a shlukové analýzy (vyhodnocené metodou průměrů).

Shimadzu: Obr. 3 Automatizovaný software pro měření DRSShimadzu: Obr. 3 Automatizovaný software pro měření DRS

Podmínky FTIR analýzy

  • Přístroj: IRXross s difúzním odrazem DRS-8000 (zakázkový model)
  • Rozlišení: 4 cm⁻¹
  • Počet průměrovaných skenů: 20
  • Apo­di­zační funkce: SqrTriangle
  • Detektor: DLATGS
  • Proplach: Dusík

Mikrobiální kultivace

Experimenty byly provedeny s grampozitivní bakterií Staphylococcus cohnii, kmen ATCC 29974 (S. cohnii), jako produkčním mikroorganismem a s Escherichia coli, kmen ATCC 700926 (E. coli), jako kontaminujícím mikroorganismem. Kultivační roztok E. coli byl přidán do kultivačního roztoku S. cohnii v koncentračních poměrech od 1 % do 1,0 × 10⁻⁶ % (podíl E. coli) a vzorky byly společně kultivovány za aerobních podmínek (37 °C, 24 hodin).

Detekce kontaminace

Infračervené spektrum každého kultivačního roztoku je znázorněno na obr. 4. Stejná spektra zpracovaná pomocí druhé derivace jsou uvedena na obr. 5 v oblasti 1300 až 800 cm⁻¹.

Shimadzu: Obr. 4 Infračervená spektraShimadzu: Obr. 4 Infračervená spektra

Shimadzu: Obr. 5 Spektra druhé derivaceShimadzu: Obr. 5 Spektra druhé derivace

Infračervené spektrální profily na obr. 4 se jeví velmi podobné, zatímco spektra druhé derivace na obr. 5 odhalují některé výrazné rozdíly. Obr. 6(a) ukazuje dendrogram získaný shlukovou analýzou spekter druhé derivace. Dendrogram vykazuje pět shluků na základě výchozí koncentrace E. coli: monokultura E. coli, S. cohnii kontaminovaná E. coli v rozmezí 1 až 10⁻¹ %, S. cohnii kontaminovaná při 10⁻² %, S. cohnii kontaminovaná při 10⁻³ až 10⁻⁴ % a S. cohnii kontaminovaná při 10⁻⁵ až 10⁻⁶ %. Pět skupin bylo rovněž identifikováno pomocí PCA analýzy (obr. 6(b)).

Shimadzu: Obr. 6 Výsledky analýzy dat (a) Shluková analýza (dendrogram), metoda shlukování: průměry, vzdálenostní stupnice: euklidovskáShimadzu: Obr. 6 Výsledky analýzy dat (a) Shluková analýza (dendrogram), metoda shlukování: průměry, vzdálenostní stupnice: euklidovská

Shimadzu: Obr. 6 Výsledky analýzy dat (b) Analýza hlavních komponent (score plot)Shimadzu: Obr. 6 Výsledky analýzy dat (b) Analýza hlavních komponent (score plot)

Uvedené výsledky ukazují, že tato technika nemusí být schopna detekovat velmi nízké výchozí koncentrace E. coli (10⁻⁵ až 10⁻⁶ %), nicméně byla schopna detekovat kontaminaci E. coli při výchozích koncentracích 10⁻⁴ % a vyšších.

Složení bakterií po společné kultivaci

Poměr S. cohnii a E. coli ve vzorcích po 24hodinové společné kultivaci byl stanoven pomocí real-time PCR za použití bakteriálně specifických primerů genů domácího metabolismu v jedné kopii. Konečné poměry obou bakterií byly určeny pomocí kalibrační křivky připravené z Ct hodnot při známých koncentracích kontrolní DNA.

Při výchozích koncentracích 10⁻² % a vyšších rychleji rostoucí E. coli převládla nad S. cohnii a tvořila větší podíl konečného složení (obr. 7). Vzhledem k tomu, že samostatné shluky se vytvářely při koncentracích nad 10⁻⁴ %, obr. 7 ukazuje, že FTIR dokáže detekovat kontaminaci při koncentracích E. coli v rozmezí 15 až 27 %.

Shimadzu: Obr. 7 Složení bakterií měřené pomocí real-time PCRShimadzu: Obr. 7 Složení bakterií měřené pomocí real-time PCR

Závěr

Infračervená spektroskopie s Fourierovou transformací s difúzním odrazem (DRS) byla použita k detekci kontaminace kultury S. cohnii jiným bakteriálním druhem (E. coli).

Všechny vzorky byly úspěšně a efektivně analyzovány pomocí FTIR systému plně proplachovaného dusíkem v kombinaci s příslušenstvím pro difúzní odraz DRS-8000. Shluková analýza a analýza hlavních komponent spekter druhé derivace (Savitzky-Golayův filtr) navíc identifikovaly kontaminaci E. coli, která nebyla patrná při jednoduchém porovnání infračervených spekter.

Real-time PCR analýza byla rovněž použita k určení rozsahu podílů kontaminující a nekontaminující bakterie, které lze touto FTIR technikou identifikovat. Technologie popsaná v této aplikační poznámce umožňuje rychlé monitorování kontaminace, což má potenciální praktické využití při výrobě bakteriálních produktů.

Zdroje

Lasch, P.; Naumann, D.: Infrared Spectroscopy in Microbiology. Encyclopedia of Analytical Chemistry, 3: 1–32, 2015.

SHIMADZU Handels GmbH - organizační složka
LinkedIn Logo
 

Mohlo by Vás zajímat

Alcohol Determination of Sanitizer Gel Using Nexis GC-2060

Aplikace
| 2026 | Shimadzu
Instrumentace
GC
Výrobce
Shimadzu
Zaměření
Farmaceutická analýza

Sensitive and Reproducible Determination of Nitrosamines by GC/MSD

Aplikace
| 2026 | Agilent Technologies
Instrumentace
GC/MSD, GC/SQ
Výrobce
Agilent Technologies
Zaměření
Životní prostředí

High-Throughput BTEX Analysis in Nail Products by SPME and GC/TQ

Aplikace
| 2026 | Agilent Technologies
Instrumentace
GC/MSD, GC/MS/MS, GC/QQQ, SPME
Výrobce
Agilent Technologies
Zaměření
Materiálová analýza

Accurate multi-component blast furnace gas analysis maximizes iron production and minimizes coke consumption

Aplikace
| 2026 | Thermo Fisher Scientific
Instrumentace
GC/MSD
Výrobce
Thermo Fisher Scientific
Zaměření
Průmysl a chemie

Gas Chromatograph Nexis GC-2060

Brožury a specifikace
| 2026 | Shimadzu
Instrumentace
GC
Výrobce
Shimadzu
Zaměření
Ostatní
 

Podobné články

Možnosti využití spektroskopie pro hodnocení vlastností lesních půd
Vědecký článek | Životní prostředí

Možnosti využití spektroskopie pro hodnocení vlastností lesních půd

Cílem studie bylo objektivní zhodnocení použitelnosti spektroskopie ve viditelné a blízké infračervené části spektra pro predikci vlastností lesních půd.
Vodohospodářské technicko-ekonomické informace
tag
share
more
Velmi rychlá analýza mikroplastů přímo z pozlaceného filtru pomocí systému Agilent 8700 LDIR
Článek | Aplikace

Velmi rychlá analýza mikroplastů přímo z pozlaceného filtru pomocí systému Agilent 8700 LDIR

Agilent 8700 LDIR nabízí plně automatizova­nou analýzu vzorků s tisící částic mikroplastů, kterou zvládne v rámci minut až hodin namísto dnů až týdnů.
Altium International
tag
share
more
Organická analýza - Infračervená spektroskopie (IR)
Článek | Akademie

Organická analýza - Infračervená spektroskopie (IR)

Pravidelný seriál z vybraných kapitol knihy Organická analýza. Další díl patří Infračervené spektroskopii (IR, FTIR).
2 THETA ASE
tag
share
more
Analýza různorodých plastů - výhody balíčku softwaru KnowItAll
Článek | Aplikace

Analýza různorodých plastů - výhody balíčku softwaru KnowItAll

Kombinace FTIR a softwaru KnowItAll umožňuje efektivní identifikaci mikroplastů i složených recyklovaných plastů včetně analýzy funkčních skupin a degradace materiálu.
SHIMADZU Handels GmbH - organizační složka
tag
share
more
 

Mohlo by Vás zajímat

Alcohol Determination of Sanitizer Gel Using Nexis GC-2060

Aplikace
| 2026 | Shimadzu
Instrumentace
GC
Výrobce
Shimadzu
Zaměření
Farmaceutická analýza

Sensitive and Reproducible Determination of Nitrosamines by GC/MSD

Aplikace
| 2026 | Agilent Technologies
Instrumentace
GC/MSD, GC/SQ
Výrobce
Agilent Technologies
Zaměření
Životní prostředí

High-Throughput BTEX Analysis in Nail Products by SPME and GC/TQ

Aplikace
| 2026 | Agilent Technologies
Instrumentace
GC/MSD, GC/MS/MS, GC/QQQ, SPME
Výrobce
Agilent Technologies
Zaměření
Materiálová analýza

Accurate multi-component blast furnace gas analysis maximizes iron production and minimizes coke consumption

Aplikace
| 2026 | Thermo Fisher Scientific
Instrumentace
GC/MSD
Výrobce
Thermo Fisher Scientific
Zaměření
Průmysl a chemie

Gas Chromatograph Nexis GC-2060

Brožury a specifikace
| 2026 | Shimadzu
Instrumentace
GC
Výrobce
Shimadzu
Zaměření
Ostatní
 

Podobné články

Možnosti využití spektroskopie pro hodnocení vlastností lesních půd
Vědecký článek | Životní prostředí

Možnosti využití spektroskopie pro hodnocení vlastností lesních půd

Cílem studie bylo objektivní zhodnocení použitelnosti spektroskopie ve viditelné a blízké infračervené části spektra pro predikci vlastností lesních půd.
Vodohospodářské technicko-ekonomické informace
tag
share
more
Velmi rychlá analýza mikroplastů přímo z pozlaceného filtru pomocí systému Agilent 8700 LDIR
Článek | Aplikace

Velmi rychlá analýza mikroplastů přímo z pozlaceného filtru pomocí systému Agilent 8700 LDIR

Agilent 8700 LDIR nabízí plně automatizova­nou analýzu vzorků s tisící částic mikroplastů, kterou zvládne v rámci minut až hodin namísto dnů až týdnů.
Altium International
tag
share
more
Organická analýza - Infračervená spektroskopie (IR)
Článek | Akademie

Organická analýza - Infračervená spektroskopie (IR)

Pravidelný seriál z vybraných kapitol knihy Organická analýza. Další díl patří Infračervené spektroskopii (IR, FTIR).
2 THETA ASE
tag
share
more
Analýza různorodých plastů - výhody balíčku softwaru KnowItAll
Článek | Aplikace

Analýza různorodých plastů - výhody balíčku softwaru KnowItAll

Kombinace FTIR a softwaru KnowItAll umožňuje efektivní identifikaci mikroplastů i složených recyklovaných plastů včetně analýzy funkčních skupin a degradace materiálu.
SHIMADZU Handels GmbH - organizační složka
tag
share
more
 

Mohlo by Vás zajímat

Alcohol Determination of Sanitizer Gel Using Nexis GC-2060

Aplikace
| 2026 | Shimadzu
Instrumentace
GC
Výrobce
Shimadzu
Zaměření
Farmaceutická analýza

Sensitive and Reproducible Determination of Nitrosamines by GC/MSD

Aplikace
| 2026 | Agilent Technologies
Instrumentace
GC/MSD, GC/SQ
Výrobce
Agilent Technologies
Zaměření
Životní prostředí

High-Throughput BTEX Analysis in Nail Products by SPME and GC/TQ

Aplikace
| 2026 | Agilent Technologies
Instrumentace
GC/MSD, GC/MS/MS, GC/QQQ, SPME
Výrobce
Agilent Technologies
Zaměření
Materiálová analýza

Accurate multi-component blast furnace gas analysis maximizes iron production and minimizes coke consumption

Aplikace
| 2026 | Thermo Fisher Scientific
Instrumentace
GC/MSD
Výrobce
Thermo Fisher Scientific
Zaměření
Průmysl a chemie

Gas Chromatograph Nexis GC-2060

Brožury a specifikace
| 2026 | Shimadzu
Instrumentace
GC
Výrobce
Shimadzu
Zaměření
Ostatní
 

Podobné články

Možnosti využití spektroskopie pro hodnocení vlastností lesních půd
Vědecký článek | Životní prostředí

Možnosti využití spektroskopie pro hodnocení vlastností lesních půd

Cílem studie bylo objektivní zhodnocení použitelnosti spektroskopie ve viditelné a blízké infračervené části spektra pro predikci vlastností lesních půd.
Vodohospodářské technicko-ekonomické informace
tag
share
more
Velmi rychlá analýza mikroplastů přímo z pozlaceného filtru pomocí systému Agilent 8700 LDIR
Článek | Aplikace

Velmi rychlá analýza mikroplastů přímo z pozlaceného filtru pomocí systému Agilent 8700 LDIR

Agilent 8700 LDIR nabízí plně automatizova­nou analýzu vzorků s tisící částic mikroplastů, kterou zvládne v rámci minut až hodin namísto dnů až týdnů.
Altium International
tag
share
more
Organická analýza - Infračervená spektroskopie (IR)
Článek | Akademie

Organická analýza - Infračervená spektroskopie (IR)

Pravidelný seriál z vybraných kapitol knihy Organická analýza. Další díl patří Infračervené spektroskopii (IR, FTIR).
2 THETA ASE
tag
share
more
Analýza různorodých plastů - výhody balíčku softwaru KnowItAll
Článek | Aplikace

Analýza různorodých plastů - výhody balíčku softwaru KnowItAll

Kombinace FTIR a softwaru KnowItAll umožňuje efektivní identifikaci mikroplastů i složených recyklovaných plastů včetně analýzy funkčních skupin a degradace materiálu.
SHIMADZU Handels GmbH - organizační složka
tag
share
more
 

Mohlo by Vás zajímat

Alcohol Determination of Sanitizer Gel Using Nexis GC-2060

Aplikace
| 2026 | Shimadzu
Instrumentace
GC
Výrobce
Shimadzu
Zaměření
Farmaceutická analýza

Sensitive and Reproducible Determination of Nitrosamines by GC/MSD

Aplikace
| 2026 | Agilent Technologies
Instrumentace
GC/MSD, GC/SQ
Výrobce
Agilent Technologies
Zaměření
Životní prostředí

High-Throughput BTEX Analysis in Nail Products by SPME and GC/TQ

Aplikace
| 2026 | Agilent Technologies
Instrumentace
GC/MSD, GC/MS/MS, GC/QQQ, SPME
Výrobce
Agilent Technologies
Zaměření
Materiálová analýza

Accurate multi-component blast furnace gas analysis maximizes iron production and minimizes coke consumption

Aplikace
| 2026 | Thermo Fisher Scientific
Instrumentace
GC/MSD
Výrobce
Thermo Fisher Scientific
Zaměření
Průmysl a chemie

Gas Chromatograph Nexis GC-2060

Brožury a specifikace
| 2026 | Shimadzu
Instrumentace
GC
Výrobce
Shimadzu
Zaměření
Ostatní
 

Podobné články

Možnosti využití spektroskopie pro hodnocení vlastností lesních půd
Vědecký článek | Životní prostředí

Možnosti využití spektroskopie pro hodnocení vlastností lesních půd

Cílem studie bylo objektivní zhodnocení použitelnosti spektroskopie ve viditelné a blízké infračervené části spektra pro predikci vlastností lesních půd.
Vodohospodářské technicko-ekonomické informace
tag
share
more
Velmi rychlá analýza mikroplastů přímo z pozlaceného filtru pomocí systému Agilent 8700 LDIR
Článek | Aplikace

Velmi rychlá analýza mikroplastů přímo z pozlaceného filtru pomocí systému Agilent 8700 LDIR

Agilent 8700 LDIR nabízí plně automatizova­nou analýzu vzorků s tisící částic mikroplastů, kterou zvládne v rámci minut až hodin namísto dnů až týdnů.
Altium International
tag
share
more
Organická analýza - Infračervená spektroskopie (IR)
Článek | Akademie

Organická analýza - Infračervená spektroskopie (IR)

Pravidelný seriál z vybraných kapitol knihy Organická analýza. Další díl patří Infračervené spektroskopii (IR, FTIR).
2 THETA ASE
tag
share
more
Analýza různorodých plastů - výhody balíčku softwaru KnowItAll
Článek | Aplikace

Analýza různorodých plastů - výhody balíčku softwaru KnowItAll

Kombinace FTIR a softwaru KnowItAll umožňuje efektivní identifikaci mikroplastů i složených recyklovaných plastů včetně analýzy funkčních skupin a degradace materiálu.
SHIMADZU Handels GmbH - organizační složka
tag
share
more
Další projekty
LCMS
ICPMS
Sledujte nás
FacebookX (Twitter)LinkedInYouTube
Další informace
WebinářeO násKontaktujte násPodmínky užití
LabRulez s.r.o. Všechna práva vyhrazena. Obsah dostupný pod licencí CC BY-SA 4.0 Uveďte původ-Zachovejte licenci.