GC/MS analýza SVOCs s nosným plynem vodíkem a zdrojem Agilent HydroInert

- Foto: HPST: GC/MS analýza SVOCs s nosným plynem vodíkem a zdrojem Agilent HydroInert
- Video: Agilent Technologies: Trust the New Agilent 5977C GC/MSD to Meet Your Productivity Demands with Ease
Plynová chromatografie je ve spojení s hmotnostní spektrometrií (GC/MS) nedílnou součástí analýzy polotěkavých organických sloučenin (SVOC) v environmentálních matricích. Aktuální i historické tlaky na dodávky helia (He) ale vyžadovaly, aby se laboratoře aktivně zaměřii na využití nosného plynu vodíku (H₂), nicméně většina GC/MS analýz vykazuje sníženou citlivost a také u nich docházá k hydrogenaci nebo dechloraci v iontovém zdroj.
HPST: GC/MS iontový zdroj Agilent HydroInert
Řešením je nový iontový zdroj Agilent HydroInert, který při použití nosného plynu H₂ umožňuje analyzovat široký rozsah koncetrací (0,1 až 100 μg/ml) a splňuje také kalibrační kritéria metody 8270 agentury pro ochranu životního prostředí USA (EPA).
Kompletní informace a data jsou dostupné v aplikačním listu Agilent Technologies
HPST: Tabulka 1. Seznam analytů a vnitřních standardů
Instrumentální metoda
Systém Agilent 8890 GC byl konfigurován s kolonou Agilent J&W DB-5ms Ultra Inert (PN: 121-5523UI) spojenou se systémem Agilent 5977B Inert Plus MS vybaveném novým iontovým zdrojem Agilent HydroInert. Parametry GC a MSD metody byly optimalizovány tak, aby poskytly 12minutovou metodu při zachování požadovaného rozlišení pro separaci izomerů a podle pokynů metody EPA 8270, jako je rozsah a rychlost skenování.
- Intový zdroj: Agilent HydroInert s extrakční čočkou 9 mm
- Stříkačka: Agilent Blue Line, 10 μL, píst s PTFE (PN: G4513-80203)
- GC kolona: Agilent DB-5ms Ultra Inert, 20 m × 0,18 mm, 0,36 μm (PN: 121-5523UI)
- Liner: Agilent Ultra Inert, split, skelná vata (PN: 5190-2295)
Tabulka 3. Podmínky GC/MSD měření
- Objem nástřiku: 1 μL
- Inlet: 230 °C, Split: 10:1
- Teplotní program pece: 40 °C (0 min.), rampa 30 °C/min do 320 °C (2 min)
- Nosný plyn a průtok: H2, konstantní průtok 1,2 ml/min
- Teplota transferline: 320 °C
- Teplota iontového zdroje: 300 °C
- Teplota kvadrupólů: 150 °C
- Rychlost skenování: 35 až 500 m/z
Výsledky a diskuse
Hmotnostní spektra pro pík eluovaný v retenčním čase nitrobenzenu a s nosným plynem H₂:
- (A) iontový zdroj extraktor s 3mm extrakční čočkou ukazující hydrogenaci na anilin s výrazným iontem 93 m/z
- (B) iontový zdroj Agilent HydroInert poskytuje lepší hmotnostní spektrum, které koreluje se spektrem nitrobenzenu
HPST: Obrázek 1 - použití standardního iontového zdroje a nového iontového zdroje Agilent HydroInert
EIC nitrobenzenu s nosným plynem H₂ v:
- (A) extraktorovém zdroji s 3mm extrakční čočkou ukazující hydrogenaci na anilin s výrazným iontem 93 m/z
- (B) iontovém zdroji Agilent HydroInert, vykazujícím lepší poměr iontu 123 oproti 93 m/z
HPST: Obrázek 1 - EIC při použití standardního iontového zdroje a nového iontového zdroje Agilent HydroInert
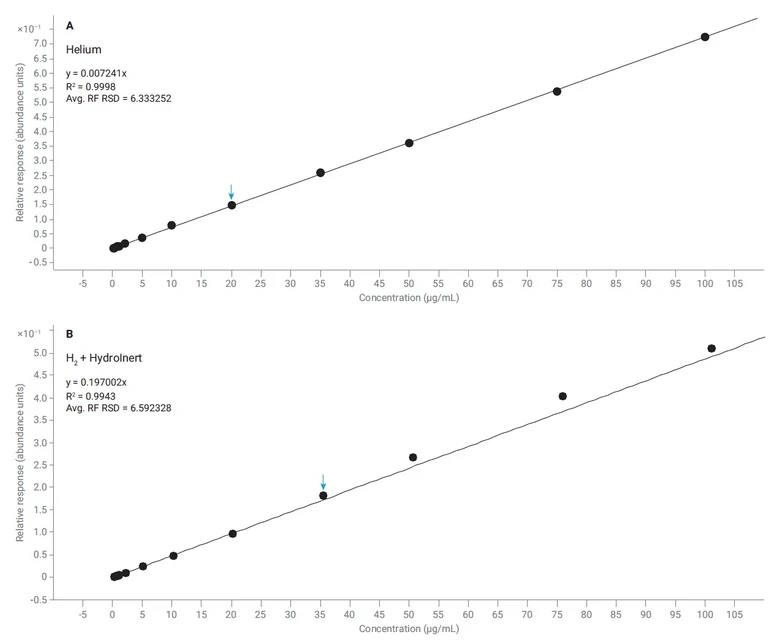
Kaibrační lineární rozsah pro nitrobenzen (0,1 až 100 μg/ml) naměřený na GC/MS systému s nosným plynem (A) He a (B) H₂ se zdrojem Agilent HydroInert.
HPST: Kalibrace pro nitrobenzen (0,1 až 100 μg/ml)
Závěr
Na GC/MSD Agilent 5977B Inert Plus byla vyvinuta metoda pro testování SVOC pomocí nosného plynu H₂ a s použitím iontového zdroje Agilent HydroInert, který zabraňuje hydrogenaci a dechloraci cílových analytů.
Ve 12minutové analýze jsou splněny kritéria metody EPA 8270D/E pro ladicí směs, ladicí kritéria DFTPP a počáteční kalibraci v rozsahu 0,1 až 100 μg/ml.
Zachování věrnosti hmotnostního spektra je průlomem pro použití nosného plynu vodíku v GC/MS, zejména pro analýzy životního prostředí.




