GC/MS analýza organických kontaminantů s využitím unikátního iontového zdroje Agilent HydroInert s vodíkem jako nosným plynem

- Foto: HPST: GC/MS analýza organických kontaminantů s využitím unikátního iontového zdroje Agilent HydroInert s vodíkem jako nosným plynem
- Video: HPST: Novinky v GCMSD Inteligentní hmotnostní detektory a HYDROINERT ionotový zdroj
Vzrůstající nejistota na trhu s heliem, která způsobuje zvyšování jeho ceny, vede laboratoře k snižování jeho spotřeby. Vodík jako nosný plyn pro plynovou chromatografii je z hlediska analytických parametrů a také ekonomiky provozu výhodnou náhradou helia. Zatímco s konvenčními detektory jako je FID je přechod na vodík poměrně bezproblémový, použití pro plynovou chromatografii s MS detekcí bylo až dosud velmi limitované. Jde totiž o velmi reaktivní plyn a v jeho přítomnosti dochází k hydrogenačním a dechloračním reakcím ve zdroji elektronové ionizace (EI) hmotnostního spektrometru. Nově navržený extrakční zdroj HydroInert od firmy Agilent eliminuje tyto reakce a umožňuje využití vodíku jako nosného plynu při využití stávajících knihoven hmotnostních spekter k identifikaci.
HPST: Obr. 1: Agilent GCMSD HydroInert iontový zdroj
Iontový zdroj HydroInert (obr. 1) je vyroben ze speciálního inertního materiálu, který zabraňuje vedlejším hydrogenačním a dechloračním reakcím. Jeho konstrukce je obdobná jako u InertExtractor iontového zdroje, umožňuje tedy fokusaci iontů před jejich vstupem do hmotnostního analyzátoru. HydroInert iontový zdroj je kompatibilní s Agilent hmotnostními detektory typu jednoduchý i trojitý kvadrupól aktuálních (5977C, 7000E) i předcházejících modelů (5977B/5977A a 7000D).
Analýza semivolatilních organických látek s využitím vodíku jako nosného plynu pomocí GC/MS a GC/MS/MS
V rámci této studie byl testování vliv nosného plynu vodíku s použitím iontového zdroje HydroInert. Byla analyzována směs 120 středně těkavých organických látek zahrnutých v metodě EPA 8270. Tato směs je optimální pro testování systému GC/MS, neboť zahrnuje širokou škálu sloučenin různých fyzikálně-chemických vlastností.
Zastoupeny byly sloučeniny kyselého, bazického i neutrálního charakteru, reprezentující různé chemické třídy - od nitrofenolů až po polyaromatické uhlovodíky. Byly vyhodnoceny chromatograficky významné veličiny jako je rozlišení, odezvový faktor a shoda spekter s NIST knihovnou. Testování bylo provedeno na dvou typech instrumentace:
1. GC/MS systém: Agilent GC 8890 s nástřikovým portem split/splitless + jednoduchý kvadrupól 5977B s HydroInert iontovým zdrojem
2. GC/MS/MS systém: Agilent GC 8890 s nástřikovým portem multimode + trojitý kvadrupól 7000E s HydroInert iontovým zdrojem
Instrumentální metoda
Pro obě konfigurace přístrojů byly vyvinuty metody s ohledem na:
- (I) dodržení parametrů pro metody EPA 8270, jako jsou hmotnostní rozsah a rychlost skenování
- (II) dostatečné rozlišení při separaci nejen kritických izomerních párů
- (III) dostatečnou citlivost
- (IV) krátkou dobu analýzy
V tab. níže jsou uvedeny základní parametry finálních metod.
HPST: Parametry metody GC/MS a GC/MS/MS
Výsledky
Spektrální shoda s knihovnou NIST
U běžných iontových zdrojů dochází na kovových částech při vysoké teplotě za přítomnosti vodíku k hydrogenačním a dehalogenačním reakcím, což vede ke změnám v poměrech iontů v MS spektrech. Proto je zhoršena shoda spekter se standartní NIST knihovnou, v níž jsou spektra změřena s heliem jako nosným plynem. Při měření v režimu SIM nebo MRM (pro trojitý kvadrupól) nastávají změny v poměrech iontů nebo i jejich vymizení.
HydroInert iontový zdroj tyto negativní jevy redukuje či eliminuje. Jako příklad jsou na obrázku 2 zobrazena hmotnostní spektra nitrobenzenu měřena s vodíkem jako nosným plynem pro (A) klasický InertExtractor iontový zdroj, (B) pro zdroj HydroInert a (C) NIST MS spektrum (naměřené s He jako nosným plynem).
U klasického iontového zdroje je zřejmé, že dochází k úbytku intenzity iontu m/z 123, což je molekulový iont nitrobenzenu, a naopak nárůstu intenzity iontu m/z 93, který odpovídá anilinu, tedy redukované formě nitrobenzenu.
Při použití HydroInert iontového zdroje je redukce nitrobenzenu na anilin v iontovém zdroji eliminována a spektrum odpovídá NIST knihovně.
HPST: Obr. 2: Naměřená hmotnostní spektra pro pík nitrobenzenu s nosným plynem vodík – A) iontový zdroj InertExtractor, B) iontový zdroj HydroInert, C) spektrum z knihovny NIST
V dalším příkladu (obr. 3) byly měřeny analyty parathion a hexachlorbenzen metodou GC/MS/MS v MRM režimu s nosným plynem vodíkem a s iontovým zdrojem HydroInert. MRM metoda byla použita původní (s He nosným plynem) bez změn přechodů nebo kritérií na poměry přechodů.
Parathion je pesticid s nitroskupinou, která v přítomnosti vodíku snadno redukuje na aminoskupinu, hexachlorbenzen zase reprezentuje silně chlorovanou sloučeninu, která podléhá dechloraci. Na obrázku 3 je vidět shoda MRM přechodů včetně poměrů jednotlivých přechodů pro tyto analyty. Bylo dosaženo shody poměrů přechodů téměř 100 %, lze tedy bezproblémově využít původní MRM metodu bez její úpravy.
HPST: Obr. 3: Naměřené MRM přechody a jejich poměry pro parathion (A)
Chromatografické rozlišení kritických analytů
Vzhledem k odlišným chromatografickým vlastnostem sloučenin v nosných plynech helium a vodík byla optimalizována chromatografická metoda. Oproti standardní 8270 EPA metodě byly použity jiné kolony a zkrácena doby analýzy. V aplikačních poznámkách je ukázáno chromatografické rozlišení pro kritické dvojice izomerů benz(a)antracen/chrysen, benzo(b)fluoranten/benzo(k)fluoranten a phenantrene/anthracene.
U všech je rozlišení dostatečné a splňuje požadavky metody EPA 8270. Celková doba analýzy je 11,3 min, což představuje zkrácení o 10 min oproti původní metodě s heliem. Využití vodíku jako nosného plynu tedy umožňuje významné zkrácení analýzy a zvyšuje tak průchodnost vzorků cca 2x.
Odezvové faktory
Při změně nosného plynu z helia na vodík je také potřeba sledovat odezvový faktor a citlivost stanovení pro jednotlivé sloučeniny. Obě aplikace se proto hodnotami odezvových faktorů zabývají a porovnávají je s odezvovými faktory z metody GC/MS s heliem jako nosným plynem a také s referenčními hodnotami odezvových faktorů v metodě EPA 8270.
Hodnoty většiny odezvových faktorů byly u nové metody stejné nebo lepší než referenční EPA hodnoty, pouze u pěti sloučenin byl odezvový faktor nižší. Při analýze na trojitém kvadrupólu se mez kvantifikace analytů obecně zlepšila cca 5x oproti EPA metodě, takže sledování odezvových faktorů nebylo kritické.
Kalibrace
**Hlavním požadavkem dle EPA je RSD průměrného odezvového faktoru < 20 % dosaženo na min. 6 kalibračních hladinách**, případně koeficient determinace R² > 0,990 pro lineární nebo kvadratický typ závislosti. Chyba v přesnosti (accuracy) pro nejnižší kalibrační bod musí být maximálně 30 %. Tato kalibrační kritéria jsou v nové metodě splněna pro 87 % analytů. Kalibrační rozsah je pro většinu látek stejný jako pro metodu EPA 8270, tj. 100 ng/ml – 100 ug/ml, v metodě GC/MS/MS byl kalibrační rozsah pro většinu látek 20 ng/ml – 100 ug/ml.
V aplikačních poznámkách jsou k dispozici kompletní tabulky s naměřenými hodnotami odezvového faktoru, kalibračního rozsahu, typu kalibrační závislosti, směrodatné odchylky (% RSD) a koeficientu determinace (R²) pro všech 120 analytů. Lze konstatovat, že tyto parametry metody byly srovnatelné s původními metodami využívajícími jako nosný plyn helium.
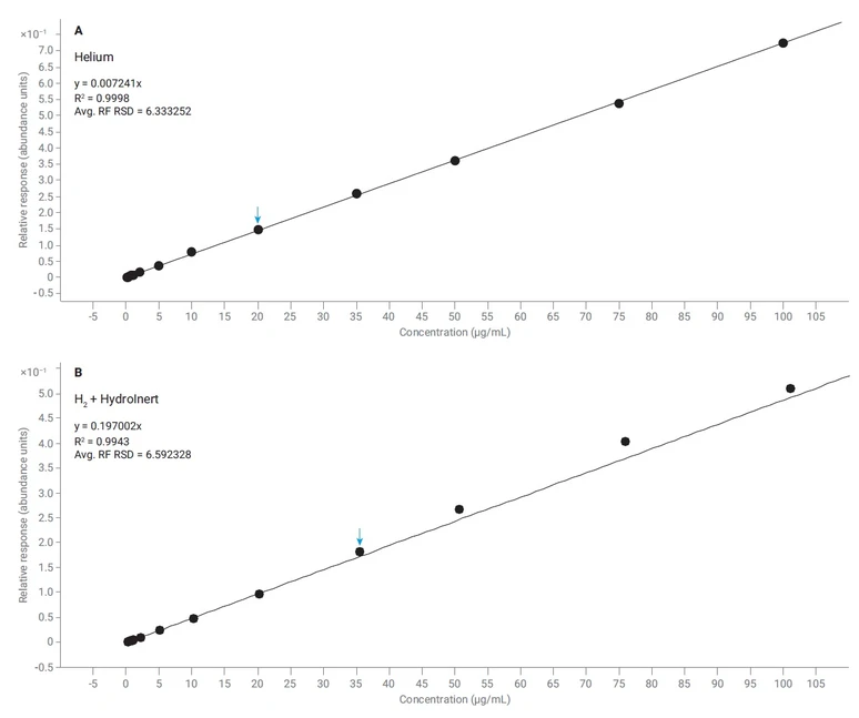
HPST: Kalibrační závislost pro nitrobenzen (0.1 - 100 ug/ml) pro GC/MS s použitím He (A) a vodíku (B) a s využitím iontového zdroje Agilent Hydroinert
Závěr
Uživatelé plynové chromatografie, kteří se rozhodnou pro přechod na vodík jako nosný plyn mají s Agilentem k dispozici všechny potřebné nástroje a informace. Vodík je možno dodávat z tlakových lahví, ale ekonomičtější a bezpečnější variantou je generátor vodíku.
Pro GC s FID nebo jinými konvenčními detektory je z analytického pohledu třeba přizpůsobit pouze chromatografickou metodu. MS detekci byla až dosud problematická kvůli reaktivitě vodíku a s tím spojenými změnami spekter a dalším jevům jako je chvostování píků výševroucích analytů.
HydroInert iontový zdroj je speciálně navržený pro práci s vodíkem jako nosným plynem. V tomto článku jsme shrnuli obsah dvou aplikačních poznámek, které hodnotily využití vodíku jako nosného plynu v kombinaci se zdrojem HydroInert pro širokou škálu analytů a porovnávaly výsledky s požadavky metody EPA 8270.
Je patrné, že v HydroInert iontovém zdroji nedochází ke změnám v MS spektrech, a proto lze využít standardní MS knihovnu (např. NIST). Také lze aplikovat již zavedené GC/MS/MS MRM metody, neboť poměry přechodů jsou ve shodě. Kvantitativní parametry metody jako jsou odezvové faktory, meze kvantifikace a kalibrační rozsah jsou také ve shodě s kritérii zmíněné EPA metodiky.
Přehled literatury pro GC/MS intový zdroj Agilent HydroInert v knihovně LabRulezGCMS
EPA TO-15 Analysis Using Hydrogen Carrier Gas and the Agilent HydroInert Source (Aplikace | 2022)
Volatile Organic Compounds Analysis in Drinking Water with Headspace GC/MSD Using Hydrogen Carrier Gas and HydroInert Source (Aplikace | 2022)
Agilent Inert Plus GC/MS System with HydroInert Source (Technické články | 2022)
Analysis of Semivolatile Organic Compounds Using Hydrogen Carrier Gas and the Agilent HydroInert Source by Gas Chromatography/Mass Spectrometry (Aplikace | 2022)
Analysis of Semivolatile Organic Compounds with Hydrogen Carrier Gas and HydroInert Source by Gas Chromatography/Triple Quadrupole Mass Spectrometry (GC/MS/MS) (Aplikace | 2022)
ASMS: A Robust High-Throughput GC/MS/MS Analysis of 203 Pesticides in Fresh Produce Under 10 Minutes with Helium and Hydrogen Carrier Gasses (Postery | 2022)
Agilent HydroInert Source - Quick Start Guide (Manuály | 2022)
ASMS: A Novel EI Source Optimized for Use with Hydrogen Carrier Gas in GC/MS and GC/MS/MS (Postery | 2022)
Use Hydrogen Carrier to Analyze More Compounds (Ostatní | 2022)
Agilent HydroInert source for GC/MS with hydrogen carrier gas (Brožury a specifikace | 2022)




