Použití nového iontového zdroje s vysokou účinností při analýze těkavých organických látek metodou static headspace

- Foto: Altium: Použití nového iontového zdroje s vysokou účinností při analýze těkavých organických látek metodou static headspace
- Video: Agilent Technologies: Trust the New Agilent 5977C GC/MSD to Meet Your Productivity Demands with Ease
Toto je první studie demonstrující výhody nového zdroje s vysokou účinností (High Efficiency Source - HES) na citlivost při stanovení těkavých organických látek (Volatile Organic Compounds - VOC).
V této práci byla zkoumána následující kritéria:
LOD
opakovatelnost
reprodukovatelnost
dlouhodobá stabilita
Pro měření byla použita instrumentace Agilent Technologies - nový hmotnostní detektor 5977B s HES, plynový chromatograf 7890B a static headspace sampler 7697A.
Altium: Obrázek 1 Systém HS-GC/MS
Zatím nejvyspělejší EI GC/MS zdroj je schopen vyprodukovat až 20x více iontů než dosavadní iontové zdroje a to zejména kvůli intenzivnějšímu paprsku elektronů a delší trase, kde dochází ke kolizi elektronů a eluovaných analytů.
Altium: Obrázek 2 Intenzivnější elektronový paprsek, delší trasa pro kolizi elektronů a eluovaných analytů -> téměř 20x více vyprodukovaných iontů
Díky tomu je IDL (Instrument Detection Limit) – detekční limit nového hmotnostního spektrometru 5977B s HES 6-7x lepší než detekční limit staršího stroje 5977A s extrakčním zdrojem (1.5fg OFN na 5977B oproti 10fg OFN na 5977A).
Altium: Obrázek 3a - Detekční limity v řádu atto gramů - Preciznost - Citlivost v režimu Scan bude nyní stejná jako v režimu SIM se standardními iontovými zdroji - Obrázek 3b Optimalizace pracovního procesu
Optimalizace parametrů HS metody
Pro zajištění robustních výsledků byly vybrány tři sloučeniny reprezentující nízko vroucí, středně vroucí a výše vroucí skupiny látek, a to vinylchlorid, benzen a trichlorobenzeny. Při optimalizaci metody bylo použito standardu o koncentraci 10 µg/L VOC. Měření probíhalo v módu SCAN a ladily se následující parametry:
Teplota pece a teplota smyčky
Plnicí tlak vialky
Plnicí tlak smyčky
GC splitovací poměr
Altium: Obrázek 4: Teplota smyčky = Teplota Pece (75°C)
Altium: Obrázek 5: Tlak ve vialce (10 – 15 psi) 5a. Vinylchlorid 5b. Benzen 5c. Trichlorobenzeny
Altium: Obrázek 6: Plnicí tlak smyčky 6a. Vinylchlorid 6b. Benzen 6c. Trichlorobenzeny
Altium: Obrázek 7: GC splitovací poměr 7a. Vinylchlorid 7b. Benzen 7c. Trichlorobenzeny
Odhad limitu detekce a opakovatelnosti
Pro odhad limitu detekce byla analýza VOC provedena v režimu SIM a jako matrice byla použita voda přečištěná reverzní osmózou a obohacená směsí VOC v kalibračním rozmezí 0.02 -20 µg/L. Pro odhad detekčního limitu metody (MDL) bylo použito opakovaných měření na hladině 0.04 µg/L. Testování dlouhodobé stability bylo provedeno opakovaným měřením na vzorcích kohoutkové vody.
Altium: Obrázek 8: Odhad limitu detekce - 40 ppt Vinylchlorid – 9 opakovaných nástřiků
Příprava kalibrační řady
Do každé 20 mL vialky bylo odměřeno 10 mL vody, která byla následně obohacena standardy ze zásobních roztoků připravených v metanolu na koncentračních hladinách: 0.02, 0.05, 0.1, 0.2, 0.5, 1, 10 a 20 µg/L.
Altium: Obrázek 9: Kalibrační závislost pro Vinylchlorid 20 – 2,000 ppt
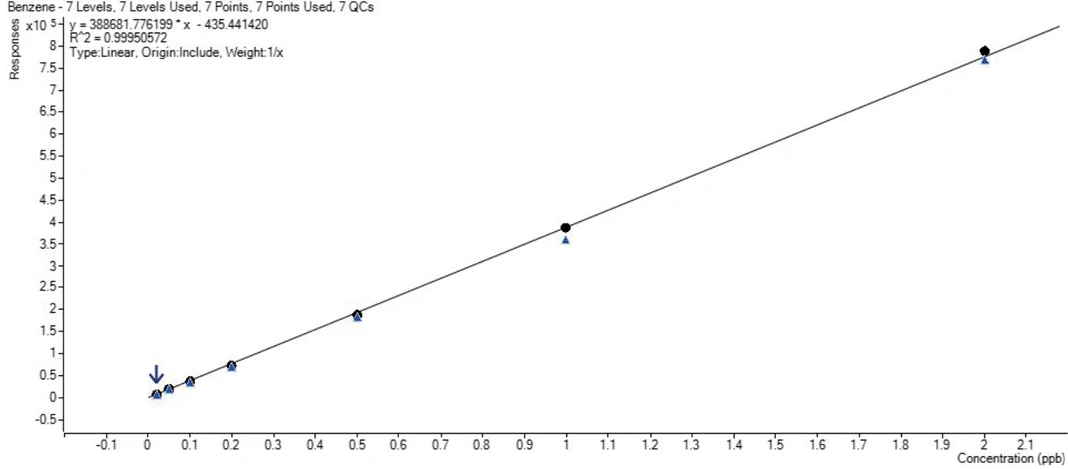
Altium: Obrázek 10: Kalibrační závislost pro Benzen 20 – 2,000 ppt
Altium: Obrázek 11: Kalibrační závislost pro Benzen 20 – 20,000 ppt
Nastavení metody HS-GC/MS
Altium: Tabulka 1: Nastavení metody HS-GC/MS
Výsledky a diskuse
V následující tabulce jsou shrnuty výsledky odhadu MDL, které byly měřeny na koncentrační hladině 0.04 µg/L v devíti opakováních. S výjimkou dvou látek měly všechny ostatní sloučeniny MDL pod hranicí 0.025 µg/L, většina pak dokonce pod 0.015 µg/L a to včetně látek s relativně nízkou odezvou.
Altium: Tabulka 2: Výsledky odhadu MDL, měřené na koncentrační hladině 0.04 µg/L v devíti opakováních
Porovnání naměřených dat na novém MSD 5977B s daty měřených na předchozím 36 modelu MSD 5977A
Altium: Tabulka 3: Porovnání dat naměřených na 5977B a 5977A
Altium: Obrázek 12: Porovnání dat naměřených na 5977B a 5977A - SIM Mode. a) Vinylchlorid - 0.2 ppb (μg/l), b) Benzen - 0.2 ppb (μg/l), c) Dichloroethan – 0.2ppb (μg/l)
Dlouhodobá stabilita
Altium: Obrázek 13: Odezva jako plocha píků benzenu, dibromometanu a bromochlorometanu ve 20 opakovaných nástřicích kohoutkové vody, ukazující dlouhodobou stabilitu systému
Závěr
Použitím nového hmotnostního spektrometru Agilent 5977B GC/MSD vybaveného iontovým zdrojem HES se při analýze VOC dospělo k výraznému snížení detekčních limitů oproti staršímu modelu 5977A, a to 4x - 10x v závislosti na vybraných analytech. Po optimalizaci parametrů headspace sampleru bylo taktéž dosaženo vynikající opakovatelnosti a dlouhodobé stability systému. Kalibrační křivky byly pro většinu analytů lineární v celém měřeném kalibračním rozsahu 0,2 µg/L až 20 µg/L.




