GCMS
Další informace
WebinářeO násKontaktujte násPodmínky užití
LabRulez s.r.o. Všechna práva vyhrazena. Obsah dostupný pod licencí CC BY-SA 4.0 Uveďte původ-Zachovejte licenci.
Autor
Eurachem
Eurachem
Je národní organizace evropské sítě Eurachem zaměřené na podporu kvality analytických měření a jejich metrologické návaznosti. Je organizací vědeckých, pedagogických a odborných pracovníků oboru analytické chemie, sdružených ke společné činnosti, jejíž účelem je podílet se v České republice na systémových opatřeních vedoucích k zabezpečení jakosti výsledků chemických analýz, osvětové činnosti v tomto oboru a zintenzivnění přenosu informací z vyspělých zemí.
Tagy
Článek
Akademie
LinkedIn Logo

Metodický list 16 - Odhad nejistoty chemických měření se započtením vychýlení

Út, 12.5.2020
| Originální článek z: Eurachem-ČR/V. Synek/Z. Plzák
Metodický list se soustřeďuje na uvedení jednoho doporučovaného postupu zahrnutí nekorigovaného vychýlení do rozšířené nejistoty. závěru listu je uveden i příklad výpočtu podle tohoto postupu.
<p>Pixabay/Arek Socha: Metodický list 16 - Odhad nejistoty chemických měření se započtením vychýlení</p>

Pixabay/Arek Socha: Metodický list 16 - Odhad nejistoty chemických měření se započtením vychýlení

Odhad nejistoty měření obvykle vychází z předpokladu, že pokud měřicí postup vykazuje metodicky neodstranitelnou systematickou chybu-vychýlení, jsou výsledky měření na toto vychýlení korigovány, přičemž nejistota určení hodnoty korekce je započtena jako jedna z integrálních složek celkové kombinované nejistoty. V analytických a zdravotnických laboratoří se relativně často setkáváme se situací, kdy nemáme takovou detailní znalost charakteru vychýlení a tak spolehlivý odhad jeho hodnoty, abychom si mohli být jisti, že provedení korekce přiblíží každý individuální výsledek skutečně k pravé hodnotě měření a že korekcí dojde ke snížení nejistoty měření. V takových případech je možno volit postup, že namísto korekce výsledku měření mu přiřadíme nejistotu, kterou zvětšíme započtením vychýlení. Metodický list se soustřeďuje na uvedení jednoho doporučovaného postupu zahrnutí nekorigovaného vychýlení do rozšířené nejistoty, který byl nedávno s úplným vysvětlením publikován (6). V závěru listu je uveden i příklad výpočtu podle tohoto postupu. Původní verzi tohoto metodického listu z roku 2016 bylo možno v současné verzi zkrátit, protože byl vypuštěn přehled všech v odborné literatuře obvykle uváděných postupů.

Úvod

Některé měřicí postupy vykazují systematickou chybu, vychýlení (bias), které definuje Mezinárodní metrologický slovník VIM3 (1) jako hodnotu odhadu systematické chyby měření, tedy složky chyby měření, která v opakovaných měřeních zůstává konstantní nebo se mění předvídatelným způsobem. Ke kompenzaci známé systematické chyby měření může být aplikována korekce. Vychýlení – bias měření se vyhodnocuje v rámci validační studie typicky porovnáním výsledků s měřeními provedenými měřicím postupem vyšší metrologické úrovně, analýzou vhodných certifikovaných referenčních materiálů, účastí laboratoře v mezilaboratorních porovnáváních a pomocí experimentálních studií s přídavky, ev. i měřením slepých pokusů.

Podrobně popisuje způsob vyhodnocování nejistoty měření chemických měření příručka Eurachem (2), která, stejně jako základní dokument ISO – GUM (Guide to the expression of uncertainty in measurement) (3), obecně vyžaduje, aby byly korigovány všechny poznané významné systematické vlivy. Pro rozhodování, zda může být známé vychýlení důvodně zanedbáno, se doporučuje porovnat vychýlení s odhadnutou kombinovanou nejistotou. Je-li vychýlení ve srovnání s kombinovanou nejistotou významné, je nutno vychýlení eliminovat (např. upravením kalibrace, případně postupu analýzy) nebo provést korekci a zahrnout příspěvek nejistoty korekce do celkové kombinované nejistoty. Jinou alternativou je uvést pozorované vychýlení a jeho nejistotu spolu s výsledkem měření a jeho nejistotou. Poslední způsob je obecný, korektní pro většinu případů, poskytuje dostatek informací pro hodnocení výsledku analýzy, ale přenáší břímě hodnocení výsledku na zákazníka, který často nemá kvalifikaci posuzovat souvislosti měřicího procesu a očekává dodání jediné hodnoty s přidruženou nejistotou.

V analytických a zdravotnických laboratořích se poměrně často setkáváme se situací, že víme, že daný měřicí postup vykazuje významné vychýlení, ale nemáme dost poznatků, abychom mohli ospravedlnit provedení korekce u všech výsledků. Je to například v případech, že vychýlení bylo vyhodnoceno pomocí jediného referenčního materiálu, který je k dispozici, přičemž měřicí postup je validován pro různé matrice daného typu vzorku a široké rozmezí měřených hodnot. Podobná situace může nastávat u studií s přídavkem a v těch případech, kdy zjištěné vychýlení je statisticky významné, ale relativně malé, nebo precizní studie závislosti vychýlení na hodnotě měřené veličiny a matrici by si vyžadovala neúměrné časové a finanční náklady. V takových případech může laboratoř zvolit řešení, že zahrne příspěvek vychýlení zvýšením hodnoty nejistoty měření, kterou bude uvádět u každého výsledku.

Způsoby zahrnutí nekorigovaného významného vychýlení do rozšířené nejistoty měření

Literatura uvádí řadu postupů jak modifikovat rozšířenou nejistotu namísto korekce výsledku na významné vychýlení. Jsou to především postupy SUMU, U(bias) - také SUMUMax, RSSU, RSSu, U𝑒(95 %). Je možné se s nimi seznámit v publikacích (4, 5), kde jsou shrnuty, vysvětleny a porovnávány. Modifikace rozšířené nejistoty spočívá až na jednu výjimku (SUMU) ve zvětšení intervalu pokrytí, a to tím větším, čím větší je vychýlení. Tím se zvětšuje pravděpodobnost pokrytí, která v případě intervalu vymezeného rozšířenou nejistotou kolem vychýleného (nekorigovaného) výsledku s rostoucím vychýlením klesá (viz tab. 1 na str. 3). Žádnou z těchto uvedených metod není možné považovat za ideální - neexistuje dosud univerzální harmonizovaný postup, jak v takovém případě postupovat.

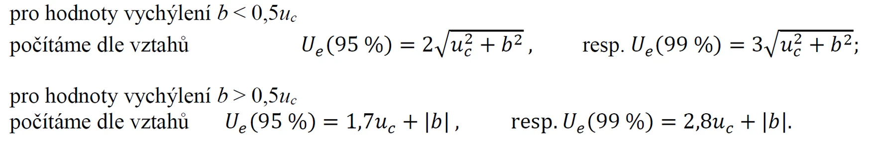
Tento Metodický list vychází ze závěrů dvou publikací (5, 6) zabývajících se přímo touto problematikou a doporučuje jednoduchý postup zahrnutí nekorigovaného vychýlení do rozšířené nejistoty. Takový postup vymezuje interval pokrytí symetricky kolem nekorigované naměřené hodnoty tak, aby pravděpodobnost pokrytí byla právě 95 %, případně dle alternativní volby 99 % (obecně lze psát P %). (Podle VIM (1) je pravděpodobnost pokrytí definována jako pravděpodobnost, že soubor pravých hodnot veličiny měřené veličiny je obsažen ve specifikovaném intervalu pokrytí.) Takto modifikovanou rozšířenou nejistotu (tj. vlastně pološířku intervalu) můžeme obecně značit U𝑒(P %). Při výpočtu vycházíme z nalezené hodnoty vychýlení (b) a z celkové standardní nejistoty (u𝑐) kombinované ze všech složek včetně standardní nejistoty vychýlení (u𝑏).

Hodnotu vychýlení porovnáme nejprve s kombinovanou standardní nejistotou a pak dle zvolené pravděpodobnosti pokrytí vypočteme hodnotu 𝑈𝑒(P %) dle příslušného vzorce:

Uvedenou hranici 0,5 pro volbu vzorců není nutné dodržovat striktně; vzorce s kvadratickým sčítáním b a u𝑐 je možné aplikovat i pro poměr b/u𝑐 vyšší, ale při pravděpodobnosti pokrytí 95 % by neměl být poměr větší než 1 a při 99 % větší než 0,7.

Absolutní a relativní model vychýlení

Při kvantifikaci vychýlení je nutno volit model vychýlení pro dané podmínky (dle výsledků studie vychýlení). Počítá se buď s absolutním vychýlením, je-li předpokládáno vychýlení konstantní v daném rozmezí měřené veličiny, anebo když v daném rozmezí roste vychýlení úměrně s hodnotou měřené veličiny, počítá se s relativním (proporcionálním) vychýlením, což je poměr vychýlení k pravé hodnotě (při výpočtu nahrazené referenční hodnotou). Výše uvedené vzorce pro výpočet rozšířených nejistot modifikovaných na vychýlení jsou psány pro konstantní absolutní vychýlení. V případě konstantního relativního vychýlení lze použít stejné vzorce s tím, že symboly nejistot jsou míněny jako relativní nejistoty (tj. relativní standardní nejistota jako relativní směrodatná odchylka) a symbol vychýlení jako relativní vychýlení. Místo relativního vychýlení se většinou používá výtěžnost (relativní vychýlení plus 1, resp. 100 %).

Korekce významného vychýlení či zvětšení nejistoty nekorigovaného výsledku?

Z publikací (2, 5, 7) lze vybrat tyto pokyny a závěry. Jestliže se při vývoji měřicí metody nepodaří eliminovat či minimalizovat systematické vlivy tak, aby výsledné vychýlení bylo zanedbatelné, tj. celkové vychýlení je signifikantní vzhledem ke kombinované nejistotě, je vhodné uvažovat o korekci naměřených hodnot na toto vychýlení. Aby bylo možno přistoupit k matematické korekci naměřených výsledků na významný bias, musí být splněny tyto podmínky: (i) Pro měření dané veličiny nesmí být korekce zakázána. (ii) Musí být spolehlivě stanovena hodnota vychýlení, která platí shodně pro vzorky, jež mají být danou metodou měřeny (uvažovat předpokládané varianty matrice a rozmezí měřených hodnot). To znamená, že stanovená hodnota b musí být statisticky významná vzhledem k nejistotě tohoto stanovení u𝑏 (prokázání významnosti se statistickou jistotou, alespoň 95 %). (iii) Příčina vychýlení musí být známa. (iv) V konečném výsledku musí být korekce vychýlení smysluplná, tj. musí být dosaženo užitečného snížení nejistoty měření. Korekce na vychýlení nemůže být obecně doporučena, nejsou-li tyto podmínky splněny. Je třeba zdůraznit, že pokud v případě naplnění podmínek se korekce na vychýlení stane součástí výpočtu měřené hodnoty, je nutné zahrnout standardní nejistotu vychýlení do kombinované standardní nejistoty měření (i když byla kombinovaná nejistota získána přístupem zdola nahoru – úplná bilance nejistot).

V mnoha případech je splnění uváděných podmínek technicky, ekonomicky či časově velmi náročné a za daných okolností v laboratoři nedosažitelné. Řešením problému, jak zapracovat nezanedbatelné vychýlení do naměřeného výsledku, pak může být právě modifikace rozšířené nejistoty započtením vychýlení.

Při jak velkém vychýlení je třeba činit opatření

Výše je uvedeno, že nutnou podmínkou pro korekci měřených hodnot na vychýlení je statistická významnost vychýlení (významnost vzhledem k nejistotě stanovení vychýlení u𝑏). Ovšem důsledky vychýlení měřicí metody na výsledek nelze zanedbat a je třeba činit dodatečné kroky i tehdy, když statistická významnost vychýlení nebyla sice prokázána, ale toto vychýlení je významné vzhledem ke kombinované nejistotě měření u𝑐 (2), respektive vhledem k požadované přesnosti (accuracy) měření (3). V tab. 1 je pro představu uvedeno určité kvantitativní vyjádření - jak klesá pravděpodobnost pokrytí intervalu vymezeného rozšířenou nejistotou U kolem nekorigovaného výsledku, roste-li poměr b⁄u𝑐. Např. při poměru přes 1,1 klesne pravděpodobnost z přepokládaných 95 % pod 80 %, v takovém případě by nebylo vychýlení prokázáno testem jako signifikantní, pokud by pro nejistotu vychýlení platilo, že u𝑏 > 0,6u𝑐 (to může snadno nastat, je-li vyšší nejistota referenční hodnoty) (5). Vhodné opatření v takovém případě je modifikace rozšířené nejistoty, nikoli korekce naměřené hodnoty. Na druhou stranu pokud by u𝑏 < 0,3u𝑐, pravděpodobnost pokrytí intervalu kolem nekorigovaného výsledku by nepoklesla pod 94 % a započtením tohoto vychýlení do nejistoty U𝑒(95 %), by se zvýšila šíře intervalu proti nemodifikované nejistotě U maximálně o 4 %. Takové vychýlení, i kdyby bylo prokázáno jako statisticky významné, bychom mohli považovat za nevýznamné vzhledem k u𝑐 a jeho vliv za zanedbatelný – nemuseli bychom činit žádná opatření.

Tabulka 1 Závislost pravděpodobnosti pokrytí intervalu vymezeného rozšířenou nejistotou kolem
vychýleného výsledku na b/u𝑐 (4)Tabulka 1 Závislost pravděpodobnosti pokrytí intervalu vymezeného rozšířenou nejistotou kolem vychýleného výsledku na b/u𝑐 (4)

Závěr

Při uvádění poznaného statisticky významného vychýlení výsledků měřicího postupu mají laboratoře několik možností. Od pouhého uvedení výsledku s nejistotou a hodnoty vychýlení s jeho nejistotou, provedení korekce a zahrnutí nejistoty korekce do celkové bilance nejistoty až po ponechání nekorigované hodnoty měření a rozšíření nejistoty o příspěvek odpovídající odhadovanému vychýlení. Pro způsob jak zacházet s poznanou hodnotou vychýlení není dosud stanovena žádná obecně závazná směrnice a laboratoř musí zvolit vhodný postup, který je též v souladu s odvětvovými závaznými právními předpisy a odvětvovými směrnicemi. V případě, že zvolí řešení zohlednit vychýlení rozšířením nejistoty měření, lze doporučit, aby zvolila postup uvedený v tomto metodickém listu.

Příklad výpočtu pro nejistotu výsledků stanovení kadmia v pitné vodě
Zdroje

(1) TNI 01 0115:2009 Mezinárodní metrologický slovník - Základní a všeobecné pojmy a přidružené
termíny
(VIM).

(2) Kvalimetrie 19. Stanovení nejistoty analytického měření, str.34. M. Suchánek a D. Milde (eds.)
EURACHEM-ČR Praha 2014, ISBN 978-80-86322-07-0.

(3) ISO/IEC Guide 98-3/Part. 3:2008 Uncertainty of measurement — Part 3: Guide to the expression of
uncertainty in measurement (GUM)
český překlad zaveden jako TNI 01 4109-3:2011 Nejistoty měření - Část 3: Pokyn pro vyjádření nejistoty měření (GUM:1995).

(4) Synek V.: Attempts to include uncorrected bias in the measurement uncertainty. Talanta 65, 829
(2005).

(5) Magnusson B., Ellison S. L. R.: Treatment of uncorrected measurement bias in uncertainty estimation
for chemical measurements
. Anal. Bioanal. Chem. 390, 201 (2008).

(6) Synek V.: How to encompass an uncorrected bias into the expanded uncertainty with a fixed coverage
probability: calculation procedures
. Accred. Qual. Assur. 22 (4) 179-186 (2017).

(7) Eurachem Information Leaflet: Treatment of an observed bias.
Eurachem 2017

Eurachem
LinkedIn Logo
 

Mohlo by Vás zajímat

Alcohol Determination of Sanitizer Gel Using Nexis GC-2060

Aplikace
| 2026 | Shimadzu
Instrumentace
GC
Výrobce
Shimadzu
Zaměření
Farmaceutická analýza

Sensitive and Reproducible Determination of Nitrosamines by GC/MSD

Aplikace
| 2026 | Agilent Technologies
Instrumentace
GC/MSD, GC/SQ
Výrobce
Agilent Technologies
Zaměření
Životní prostředí

High-Throughput BTEX Analysis in Nail Products by SPME and GC/TQ

Aplikace
| 2026 | Agilent Technologies
Instrumentace
GC/MSD, GC/MS/MS, GC/QQQ, SPME
Výrobce
Agilent Technologies
Zaměření
Materiálová analýza

Accurate multi-component blast furnace gas analysis maximizes iron production and minimizes coke consumption

Aplikace
| 2026 | Thermo Fisher Scientific
Instrumentace
GC/MSD
Výrobce
Thermo Fisher Scientific
Zaměření
Průmysl a chemie

Gas Chromatograph Nexis GC-2060

Brožury a specifikace
| 2026 | Shimadzu
Instrumentace
GC
Výrobce
Shimadzu
Zaměření
Ostatní
 

Podobné články

Metodický list 3 - Porovnání výsledků s certifikovanou hodnotou CRM
Článek | Akademie

Metodický list 3 - Porovnání výsledků s certifikovanou hodnotou CRM

Opakovaná analýza CRM poskytuje soubor dat, jehož průměrná hodnota se typicky liší od vztažné hodnoty uvedené v certifikátu. O tom, jak zhodnotit tento rozdíl a jak rozhodnout, pojednává tento Metodický list.
Eurachem
tag
share
more
Metodický list 10 - Porovnání výsledků analytických metod
Článek | Akademie

Metodický list 10 - Porovnání výsledků analytických metod

Charakterizace výkonnosti analytické měřící metody je jedním z důležitých znaků analytického měřicího systému, zejména pro rozhodování, jaká analytická metoda je vhodná pro daný účel.
Eurachem
tag
share
more
Nejistoty měření a návaznost výsledků
Článek | Akademie

Nejistoty měření a návaznost výsledků

V dalším díle seriálu HPLC.cz k Validacím metod se podívame na strategie a přístup k nejistototě měření a návaznost měření.
Česká chromatografická škola
tag
share
more
Co je faktor nejistoty?
Článek | Akademie

Co je faktor nejistoty?

Cílem tohoto letáku je vysvětlit pojem faktoru nejistoty a způsob, jakým jej lze za určitých okolností použít k poskytnutí vhodného a realistického intervalu nejistoty.
Eurachem
tag
share
more
 

Mohlo by Vás zajímat

Alcohol Determination of Sanitizer Gel Using Nexis GC-2060

Aplikace
| 2026 | Shimadzu
Instrumentace
GC
Výrobce
Shimadzu
Zaměření
Farmaceutická analýza

Sensitive and Reproducible Determination of Nitrosamines by GC/MSD

Aplikace
| 2026 | Agilent Technologies
Instrumentace
GC/MSD, GC/SQ
Výrobce
Agilent Technologies
Zaměření
Životní prostředí

High-Throughput BTEX Analysis in Nail Products by SPME and GC/TQ

Aplikace
| 2026 | Agilent Technologies
Instrumentace
GC/MSD, GC/MS/MS, GC/QQQ, SPME
Výrobce
Agilent Technologies
Zaměření
Materiálová analýza

Accurate multi-component blast furnace gas analysis maximizes iron production and minimizes coke consumption

Aplikace
| 2026 | Thermo Fisher Scientific
Instrumentace
GC/MSD
Výrobce
Thermo Fisher Scientific
Zaměření
Průmysl a chemie

Gas Chromatograph Nexis GC-2060

Brožury a specifikace
| 2026 | Shimadzu
Instrumentace
GC
Výrobce
Shimadzu
Zaměření
Ostatní
 

Podobné články

Metodický list 3 - Porovnání výsledků s certifikovanou hodnotou CRM
Článek | Akademie

Metodický list 3 - Porovnání výsledků s certifikovanou hodnotou CRM

Opakovaná analýza CRM poskytuje soubor dat, jehož průměrná hodnota se typicky liší od vztažné hodnoty uvedené v certifikátu. O tom, jak zhodnotit tento rozdíl a jak rozhodnout, pojednává tento Metodický list.
Eurachem
tag
share
more
Metodický list 10 - Porovnání výsledků analytických metod
Článek | Akademie

Metodický list 10 - Porovnání výsledků analytických metod

Charakterizace výkonnosti analytické měřící metody je jedním z důležitých znaků analytického měřicího systému, zejména pro rozhodování, jaká analytická metoda je vhodná pro daný účel.
Eurachem
tag
share
more
Nejistoty měření a návaznost výsledků
Článek | Akademie

Nejistoty měření a návaznost výsledků

V dalším díle seriálu HPLC.cz k Validacím metod se podívame na strategie a přístup k nejistototě měření a návaznost měření.
Česká chromatografická škola
tag
share
more
Co je faktor nejistoty?
Článek | Akademie

Co je faktor nejistoty?

Cílem tohoto letáku je vysvětlit pojem faktoru nejistoty a způsob, jakým jej lze za určitých okolností použít k poskytnutí vhodného a realistického intervalu nejistoty.
Eurachem
tag
share
more
 

Mohlo by Vás zajímat

Alcohol Determination of Sanitizer Gel Using Nexis GC-2060

Aplikace
| 2026 | Shimadzu
Instrumentace
GC
Výrobce
Shimadzu
Zaměření
Farmaceutická analýza

Sensitive and Reproducible Determination of Nitrosamines by GC/MSD

Aplikace
| 2026 | Agilent Technologies
Instrumentace
GC/MSD, GC/SQ
Výrobce
Agilent Technologies
Zaměření
Životní prostředí

High-Throughput BTEX Analysis in Nail Products by SPME and GC/TQ

Aplikace
| 2026 | Agilent Technologies
Instrumentace
GC/MSD, GC/MS/MS, GC/QQQ, SPME
Výrobce
Agilent Technologies
Zaměření
Materiálová analýza

Accurate multi-component blast furnace gas analysis maximizes iron production and minimizes coke consumption

Aplikace
| 2026 | Thermo Fisher Scientific
Instrumentace
GC/MSD
Výrobce
Thermo Fisher Scientific
Zaměření
Průmysl a chemie

Gas Chromatograph Nexis GC-2060

Brožury a specifikace
| 2026 | Shimadzu
Instrumentace
GC
Výrobce
Shimadzu
Zaměření
Ostatní
 

Podobné články

Metodický list 3 - Porovnání výsledků s certifikovanou hodnotou CRM
Článek | Akademie

Metodický list 3 - Porovnání výsledků s certifikovanou hodnotou CRM

Opakovaná analýza CRM poskytuje soubor dat, jehož průměrná hodnota se typicky liší od vztažné hodnoty uvedené v certifikátu. O tom, jak zhodnotit tento rozdíl a jak rozhodnout, pojednává tento Metodický list.
Eurachem
tag
share
more
Metodický list 10 - Porovnání výsledků analytických metod
Článek | Akademie

Metodický list 10 - Porovnání výsledků analytických metod

Charakterizace výkonnosti analytické měřící metody je jedním z důležitých znaků analytického měřicího systému, zejména pro rozhodování, jaká analytická metoda je vhodná pro daný účel.
Eurachem
tag
share
more
Nejistoty měření a návaznost výsledků
Článek | Akademie

Nejistoty měření a návaznost výsledků

V dalším díle seriálu HPLC.cz k Validacím metod se podívame na strategie a přístup k nejistototě měření a návaznost měření.
Česká chromatografická škola
tag
share
more
Co je faktor nejistoty?
Článek | Akademie

Co je faktor nejistoty?

Cílem tohoto letáku je vysvětlit pojem faktoru nejistoty a způsob, jakým jej lze za určitých okolností použít k poskytnutí vhodného a realistického intervalu nejistoty.
Eurachem
tag
share
more
 

Mohlo by Vás zajímat

Alcohol Determination of Sanitizer Gel Using Nexis GC-2060

Aplikace
| 2026 | Shimadzu
Instrumentace
GC
Výrobce
Shimadzu
Zaměření
Farmaceutická analýza

Sensitive and Reproducible Determination of Nitrosamines by GC/MSD

Aplikace
| 2026 | Agilent Technologies
Instrumentace
GC/MSD, GC/SQ
Výrobce
Agilent Technologies
Zaměření
Životní prostředí

High-Throughput BTEX Analysis in Nail Products by SPME and GC/TQ

Aplikace
| 2026 | Agilent Technologies
Instrumentace
GC/MSD, GC/MS/MS, GC/QQQ, SPME
Výrobce
Agilent Technologies
Zaměření
Materiálová analýza

Accurate multi-component blast furnace gas analysis maximizes iron production and minimizes coke consumption

Aplikace
| 2026 | Thermo Fisher Scientific
Instrumentace
GC/MSD
Výrobce
Thermo Fisher Scientific
Zaměření
Průmysl a chemie

Gas Chromatograph Nexis GC-2060

Brožury a specifikace
| 2026 | Shimadzu
Instrumentace
GC
Výrobce
Shimadzu
Zaměření
Ostatní
 

Podobné články

Metodický list 3 - Porovnání výsledků s certifikovanou hodnotou CRM
Článek | Akademie

Metodický list 3 - Porovnání výsledků s certifikovanou hodnotou CRM

Opakovaná analýza CRM poskytuje soubor dat, jehož průměrná hodnota se typicky liší od vztažné hodnoty uvedené v certifikátu. O tom, jak zhodnotit tento rozdíl a jak rozhodnout, pojednává tento Metodický list.
Eurachem
tag
share
more
Metodický list 10 - Porovnání výsledků analytických metod
Článek | Akademie

Metodický list 10 - Porovnání výsledků analytických metod

Charakterizace výkonnosti analytické měřící metody je jedním z důležitých znaků analytického měřicího systému, zejména pro rozhodování, jaká analytická metoda je vhodná pro daný účel.
Eurachem
tag
share
more
Nejistoty měření a návaznost výsledků
Článek | Akademie

Nejistoty měření a návaznost výsledků

V dalším díle seriálu HPLC.cz k Validacím metod se podívame na strategie a přístup k nejistototě měření a návaznost měření.
Česká chromatografická škola
tag
share
more
Co je faktor nejistoty?
Článek | Akademie

Co je faktor nejistoty?

Cílem tohoto letáku je vysvětlit pojem faktoru nejistoty a způsob, jakým jej lze za určitých okolností použít k poskytnutí vhodného a realistického intervalu nejistoty.
Eurachem
tag
share
more
Další projekty
LCMS
ICPMS
Sledujte nás
FacebookX (Twitter)LinkedInYouTube
Další informace
WebinářeO násKontaktujte násPodmínky užití
LabRulez s.r.o. Všechna práva vyhrazena. Obsah dostupný pod licencí CC BY-SA 4.0 Uveďte původ-Zachovejte licenci.