GCMS
Další informace
WebinářeO násKontaktujte násPodmínky užití
LabRulez s.r.o. Všechna práva vyhrazena. Obsah dostupný pod licencí CC BY-SA 4.0 Uveďte původ-Zachovejte licenci.
Autor
Eurachem
Eurachem
Je národní organizace evropské sítě Eurachem zaměřené na podporu kvality analytických měření a jejich metrologické návaznosti. Je organizací vědeckých, pedagogických a odborných pracovníků oboru analytické chemie, sdružených ke společné činnosti, jejíž účelem je podílet se v České republice na systémových opatřeních vedoucích k zabezpečení jakosti výsledků chemických analýz, osvětové činnosti v tomto oboru a zintenzivnění přenosu informací z vyspělých zemí.
Tagy
Článek
Akademie
LinkedIn Logo

Metodický list 3 - Porovnání výsledků s certifikovanou hodnotou CRM

St, 5.2.2020
| Originální článek z: Eurachem-ČR/Zbyněk Plzák
Opakovaná analýza CRM poskytuje soubor dat, jehož průměrná hodnota se typicky liší od vztažné hodnoty uvedené v certifikátu. O tom, jak zhodnotit tento rozdíl a jak rozhodnout, pojednává tento Metodický list.
<p>Pixabay: Gerd Altmann</p>

Pixabay: Gerd Altmann

Certifikované referenční materiály (CRM), zejména matricové, představují materiály, jejichž složení může být blízké analyzovaným vzorkům. Analýza těchto materiálů, u nichž je hodnota měřené vlastnosti nejčastěji obsahu či koncentrace analytu známa, představuje nezastupitelný nástroj k ověření, zda získáváme postupem analýzy zavedeným v laboratoři pravdivé výsledky. Opakovaná analýza CRM poskytuje soubor dat, jehož průměrná hodnota se typicky liší od vztažné hodnoty uvedené v certifikátu. O tom, jak zhodnotit tento rozdíl, jak rozhodnout zda použitý postup analýzy poskytuje výsledky s významným vychýlením, pojednává tento Metodický list. Jeho cílem je též upozornit na dokument, publikovaný na webových stránkách Evropských referenčních materiálů (ERM), věnovaný stejné problematice.

Test vychýlení (bias) analýzou CRM je založen na porovnání experimentálně stanovené hodnoty s certifikovanou hodnotou a jim příslušných nejistot. Historicky se v literatuře i v písemných materiálech k CRM uvádělo pro hodnocení testu vychýlení několik přístupů a vztahů. Jednotlivé vztahy se lišily v závislosti na různých způsobech vyjadřování nejistot výsledků analýz a certifikovaných hodnot, na vztahu mezi velikostí nejistoty výsledků analýz a nejistoty certifikované hodnoty a na počtu provedených analýz.

Současný přístup uvádí {1} a {2}, podle kterého lze obecně tvrdit, že vychýlení je nevýznamné, jestliže platí nerovnost (1)

kde k je faktor rozšíření, u𝑒 standardní nejistota experimentálně stanovené hodnoty analýzy CRM v laboratoři x𝑒 a u𝑐 standardní nejistota certifikované hodnoty CRM x𝑐. Hodnota k závisí na předpokládaném rozdělení pravděpodobnosti (předpokládáme normální) a požadované hladině spolehlivosti (nejčastěji k= 2, což odpovídá konfidenční úrovni přibližně 95 %). Pro použití vztahu (1) je potřeba převést v certifikátu obvykle uváděnou rozšířenou nejistotu U𝑐 certifikované hodnoty na standardní nejistotu dělením faktorem rozšíření k. Způsob hodnocení s využitím vztahu (1) je demonstrován na praktickém příkladu uvedeném na konci tohoto metodického listu. Další praktickou demonstraci tohoto přístupu, spolu s podrobným návodem jak odvodit hodnoty u𝑒 a u𝑐, uvádí odkaz {1} a materiál Application note 1 *Comparison of a measurement result with the certified value *dostupný i v českém překladu {3} na webových stránkách Společného výzkumného střediska Evropské komise v Geelu věnovaných certifikovaným referenčním materiálům na adrese https://crm.jrc.ec.europa.eu/ v oddíle User support/application notes.

V případě, že je hodnota u𝑒 ve vztahu (1) vzhledem k u𝑐 zanedbatelná (tj. u𝑒 < 1/3 u𝑐, což není častý případ), pak pouze za tohoto předpokladu vztah (1) přechází výjimečně na následující vztah (2) a vychýlení je nevýznamné, když platí

Příklad

Zadání

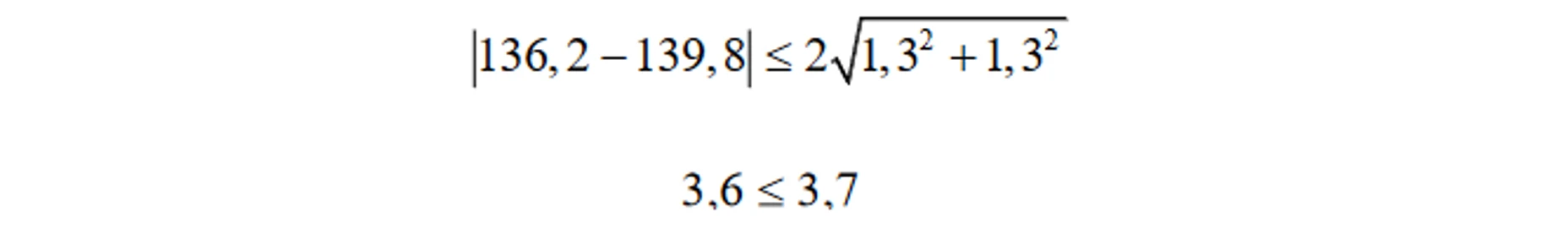
Analýzou CRM uhelného popílku, jenž má certifikovaný obsah As (136,2 ± 2,6) μg g-1(rozšířená nejistota, k=2), byla zjištěna (10 stanovení provedených v delším časovém intervalu) průměrná hodnota obsahu As 139,8 μg g-1. Variabilita obsahu As, charakterizovaná výběrovou směrodatnou odchylkou, byla rovna 4,1 μg g-1.

Zjistěte, zda používaný analytický postup vykazuje významné vychýlení. Výsledek uveďte ve formě slovní odpovědi!

Poznámka: Pro hodnocení porovnejte absolutní hodnotu rozdílu certifikované a naměřené hodnoty s nejistotou přiřazenou k tomuto rozdílu.

Řešení

Dosazením do vztahu (1) x𝑐 = 136,2; u𝑐 = 2,6/2 = 1,3; x𝑒 = 139,8; u𝑒 = 1,3 (u𝑒 = (4.1/√10) = 1,3 protože je porovnáván průměr a jeho směrodatná odchylka je s/√n, kde n je počet měření) a k = 2 (volíme přibližně 95% hladinu spolehlivosti), zjistíme, že nerovnost

je splněna a stanovená hodnota As není vychýlena na uvedené hladině spolehlivosti 95%.

Závěr

Příklad ukazuje, jak závisí výsledek testu vychýlení na vztahu nejistoty stanovené a certifikované hodnoty. Kdyby se pouze neoprávněně porovnávalo (s použitím vztahu (2)), zda naměřená hodnota zapadá do intervalu určeného pomocí rozšířené nejistoty certifikované hodnoty (136,2 + 2,6 = 138,8) došlo by se k chybnému, zcela opačnému závěru.

Zdroje

{1.} Friedecký B., Kratochvíla J., Klokočníková E., Kučera J., Plzák Z., Suchánek M., Sychra V. a Tichý J.: Referenční materiály v chemické analýze in KVALIMETRIE 21 Editoři Suchánek M. a Milde D., EURACHEM-ČR, Praha 2016 ISBN 978-80-86322-09-4.. Str.20.

{2.} ISO Guide 33:2015 Reference materials --Good practice in using reference materials. Český překlad zaveden jako TNI Pokyn ISO 33:2016 Referenční materiály - Správná praxe při jejich používání.

{3.} Linsinger T.: Application Note 1. Porovnání výsledku měření s certifikovanou hodnotou. European Commission, Joint Research Centre (JRC) Geel(2010).
https://crm.jrc.ec.europa.eu/graphics/cms_docs/erm1_czech.pdf

Eurachem
LinkedIn Logo
 

Mohlo by Vás zajímat

Alcohol Determination of Sanitizer Gel Using Nexis GC-2060

Aplikace
| 2026 | Shimadzu
Instrumentace
GC
Výrobce
Shimadzu
Zaměření
Farmaceutická analýza

Sensitive and Reproducible Determination of Nitrosamines by GC/MSD

Aplikace
| 2026 | Agilent Technologies
Instrumentace
GC/MSD, GC/SQ
Výrobce
Agilent Technologies
Zaměření
Životní prostředí

High-Throughput BTEX Analysis in Nail Products by SPME and GC/TQ

Aplikace
| 2026 | Agilent Technologies
Instrumentace
GC/MSD, GC/MS/MS, GC/QQQ, SPME
Výrobce
Agilent Technologies
Zaměření
Materiálová analýza

Accurate multi-component blast furnace gas analysis maximizes iron production and minimizes coke consumption

Aplikace
| 2026 | Thermo Fisher Scientific
Instrumentace
GC/MSD
Výrobce
Thermo Fisher Scientific
Zaměření
Průmysl a chemie

Gas Chromatograph Nexis GC-2060

Brožury a specifikace
| 2026 | Shimadzu
Instrumentace
GC
Výrobce
Shimadzu
Zaměření
Ostatní
 

Podobné články

Metodický list 12 - Jak může pomoci zkoušení způsobilosti mé laboratoři?
Článek | Akademie

Metodický list 12 - Jak může pomoci zkoušení způsobilosti mé laboratoři?

Zkoušení způsobilosti (PT) se užívá u kvantitativních, kvalitativních a interpretačních hodnocení, tento leták se však zaměřuje na PT pro kvantitativní zkoušky.
Eurachem
tag
share
more
Metodický list 16 - Odhad nejistoty chemických měření se započtením vychýlení
Článek | Akademie

Metodický list 16 - Odhad nejistoty chemických měření se započtením vychýlení

Metodický list se soustřeďuje na uvedení jednoho doporučovaného postupu zahrnutí nekorigovaného vychýlení do rozšířené nejistoty. závěru listu je uveden i příklad výpočtu podle tohoto postupu.
Eurachem
tag
share
more
Nejistoty měření a návaznost výsledků
Článek | Akademie

Nejistoty měření a návaznost výsledků

V dalším díle seriálu HPLC.cz k Validacím metod se podívame na strategie a přístup k nejistototě měření a návaznost měření.
Česká chromatografická škola
tag
share
more
Matricový certifikovaný referenční materiál zemědělské půdy na obsah vybraných pesticidů
Článek | Produkt

Matricový certifikovaný referenční materiál zemědělské půdy na obsah vybraných pesticidů

Certifikovaný referenční materiál zemědělské půdy AN-ZP03 připravený metodou přídavku organickými analyty (spikováním). Certifikovány jsou vybrané pesticidy.
ANALYTIKA
tag
share
more
 

Mohlo by Vás zajímat

Alcohol Determination of Sanitizer Gel Using Nexis GC-2060

Aplikace
| 2026 | Shimadzu
Instrumentace
GC
Výrobce
Shimadzu
Zaměření
Farmaceutická analýza

Sensitive and Reproducible Determination of Nitrosamines by GC/MSD

Aplikace
| 2026 | Agilent Technologies
Instrumentace
GC/MSD, GC/SQ
Výrobce
Agilent Technologies
Zaměření
Životní prostředí

High-Throughput BTEX Analysis in Nail Products by SPME and GC/TQ

Aplikace
| 2026 | Agilent Technologies
Instrumentace
GC/MSD, GC/MS/MS, GC/QQQ, SPME
Výrobce
Agilent Technologies
Zaměření
Materiálová analýza

Accurate multi-component blast furnace gas analysis maximizes iron production and minimizes coke consumption

Aplikace
| 2026 | Thermo Fisher Scientific
Instrumentace
GC/MSD
Výrobce
Thermo Fisher Scientific
Zaměření
Průmysl a chemie

Gas Chromatograph Nexis GC-2060

Brožury a specifikace
| 2026 | Shimadzu
Instrumentace
GC
Výrobce
Shimadzu
Zaměření
Ostatní
 

Podobné články

Metodický list 12 - Jak může pomoci zkoušení způsobilosti mé laboratoři?
Článek | Akademie

Metodický list 12 - Jak může pomoci zkoušení způsobilosti mé laboratoři?

Zkoušení způsobilosti (PT) se užívá u kvantitativních, kvalitativních a interpretačních hodnocení, tento leták se však zaměřuje na PT pro kvantitativní zkoušky.
Eurachem
tag
share
more
Metodický list 16 - Odhad nejistoty chemických měření se započtením vychýlení
Článek | Akademie

Metodický list 16 - Odhad nejistoty chemických měření se započtením vychýlení

Metodický list se soustřeďuje na uvedení jednoho doporučovaného postupu zahrnutí nekorigovaného vychýlení do rozšířené nejistoty. závěru listu je uveden i příklad výpočtu podle tohoto postupu.
Eurachem
tag
share
more
Nejistoty měření a návaznost výsledků
Článek | Akademie

Nejistoty měření a návaznost výsledků

V dalším díle seriálu HPLC.cz k Validacím metod se podívame na strategie a přístup k nejistototě měření a návaznost měření.
Česká chromatografická škola
tag
share
more
Matricový certifikovaný referenční materiál zemědělské půdy na obsah vybraných pesticidů
Článek | Produkt

Matricový certifikovaný referenční materiál zemědělské půdy na obsah vybraných pesticidů

Certifikovaný referenční materiál zemědělské půdy AN-ZP03 připravený metodou přídavku organickými analyty (spikováním). Certifikovány jsou vybrané pesticidy.
ANALYTIKA
tag
share
more
 

Mohlo by Vás zajímat

Alcohol Determination of Sanitizer Gel Using Nexis GC-2060

Aplikace
| 2026 | Shimadzu
Instrumentace
GC
Výrobce
Shimadzu
Zaměření
Farmaceutická analýza

Sensitive and Reproducible Determination of Nitrosamines by GC/MSD

Aplikace
| 2026 | Agilent Technologies
Instrumentace
GC/MSD, GC/SQ
Výrobce
Agilent Technologies
Zaměření
Životní prostředí

High-Throughput BTEX Analysis in Nail Products by SPME and GC/TQ

Aplikace
| 2026 | Agilent Technologies
Instrumentace
GC/MSD, GC/MS/MS, GC/QQQ, SPME
Výrobce
Agilent Technologies
Zaměření
Materiálová analýza

Accurate multi-component blast furnace gas analysis maximizes iron production and minimizes coke consumption

Aplikace
| 2026 | Thermo Fisher Scientific
Instrumentace
GC/MSD
Výrobce
Thermo Fisher Scientific
Zaměření
Průmysl a chemie

Gas Chromatograph Nexis GC-2060

Brožury a specifikace
| 2026 | Shimadzu
Instrumentace
GC
Výrobce
Shimadzu
Zaměření
Ostatní
 

Podobné články

Metodický list 12 - Jak může pomoci zkoušení způsobilosti mé laboratoři?
Článek | Akademie

Metodický list 12 - Jak může pomoci zkoušení způsobilosti mé laboratoři?

Zkoušení způsobilosti (PT) se užívá u kvantitativních, kvalitativních a interpretačních hodnocení, tento leták se však zaměřuje na PT pro kvantitativní zkoušky.
Eurachem
tag
share
more
Metodický list 16 - Odhad nejistoty chemických měření se započtením vychýlení
Článek | Akademie

Metodický list 16 - Odhad nejistoty chemických měření se započtením vychýlení

Metodický list se soustřeďuje na uvedení jednoho doporučovaného postupu zahrnutí nekorigovaného vychýlení do rozšířené nejistoty. závěru listu je uveden i příklad výpočtu podle tohoto postupu.
Eurachem
tag
share
more
Nejistoty měření a návaznost výsledků
Článek | Akademie

Nejistoty měření a návaznost výsledků

V dalším díle seriálu HPLC.cz k Validacím metod se podívame na strategie a přístup k nejistototě měření a návaznost měření.
Česká chromatografická škola
tag
share
more
Matricový certifikovaný referenční materiál zemědělské půdy na obsah vybraných pesticidů
Článek | Produkt

Matricový certifikovaný referenční materiál zemědělské půdy na obsah vybraných pesticidů

Certifikovaný referenční materiál zemědělské půdy AN-ZP03 připravený metodou přídavku organickými analyty (spikováním). Certifikovány jsou vybrané pesticidy.
ANALYTIKA
tag
share
more
 

Mohlo by Vás zajímat

Alcohol Determination of Sanitizer Gel Using Nexis GC-2060

Aplikace
| 2026 | Shimadzu
Instrumentace
GC
Výrobce
Shimadzu
Zaměření
Farmaceutická analýza

Sensitive and Reproducible Determination of Nitrosamines by GC/MSD

Aplikace
| 2026 | Agilent Technologies
Instrumentace
GC/MSD, GC/SQ
Výrobce
Agilent Technologies
Zaměření
Životní prostředí

High-Throughput BTEX Analysis in Nail Products by SPME and GC/TQ

Aplikace
| 2026 | Agilent Technologies
Instrumentace
GC/MSD, GC/MS/MS, GC/QQQ, SPME
Výrobce
Agilent Technologies
Zaměření
Materiálová analýza

Accurate multi-component blast furnace gas analysis maximizes iron production and minimizes coke consumption

Aplikace
| 2026 | Thermo Fisher Scientific
Instrumentace
GC/MSD
Výrobce
Thermo Fisher Scientific
Zaměření
Průmysl a chemie

Gas Chromatograph Nexis GC-2060

Brožury a specifikace
| 2026 | Shimadzu
Instrumentace
GC
Výrobce
Shimadzu
Zaměření
Ostatní
 

Podobné články

Metodický list 12 - Jak může pomoci zkoušení způsobilosti mé laboratoři?
Článek | Akademie

Metodický list 12 - Jak může pomoci zkoušení způsobilosti mé laboratoři?

Zkoušení způsobilosti (PT) se užívá u kvantitativních, kvalitativních a interpretačních hodnocení, tento leták se však zaměřuje na PT pro kvantitativní zkoušky.
Eurachem
tag
share
more
Metodický list 16 - Odhad nejistoty chemických měření se započtením vychýlení
Článek | Akademie

Metodický list 16 - Odhad nejistoty chemických měření se započtením vychýlení

Metodický list se soustřeďuje na uvedení jednoho doporučovaného postupu zahrnutí nekorigovaného vychýlení do rozšířené nejistoty. závěru listu je uveden i příklad výpočtu podle tohoto postupu.
Eurachem
tag
share
more
Nejistoty měření a návaznost výsledků
Článek | Akademie

Nejistoty měření a návaznost výsledků

V dalším díle seriálu HPLC.cz k Validacím metod se podívame na strategie a přístup k nejistototě měření a návaznost měření.
Česká chromatografická škola
tag
share
more
Matricový certifikovaný referenční materiál zemědělské půdy na obsah vybraných pesticidů
Článek | Produkt

Matricový certifikovaný referenční materiál zemědělské půdy na obsah vybraných pesticidů

Certifikovaný referenční materiál zemědělské půdy AN-ZP03 připravený metodou přídavku organickými analyty (spikováním). Certifikovány jsou vybrané pesticidy.
ANALYTIKA
tag
share
more
Další projekty
LCMS
ICPMS
Sledujte nás
FacebookX (Twitter)LinkedInYouTube
Další informace
WebinářeO násKontaktujte násPodmínky užití
LabRulez s.r.o. Všechna práva vyhrazena. Obsah dostupný pod licencí CC BY-SA 4.0 Uveďte původ-Zachovejte licenci.